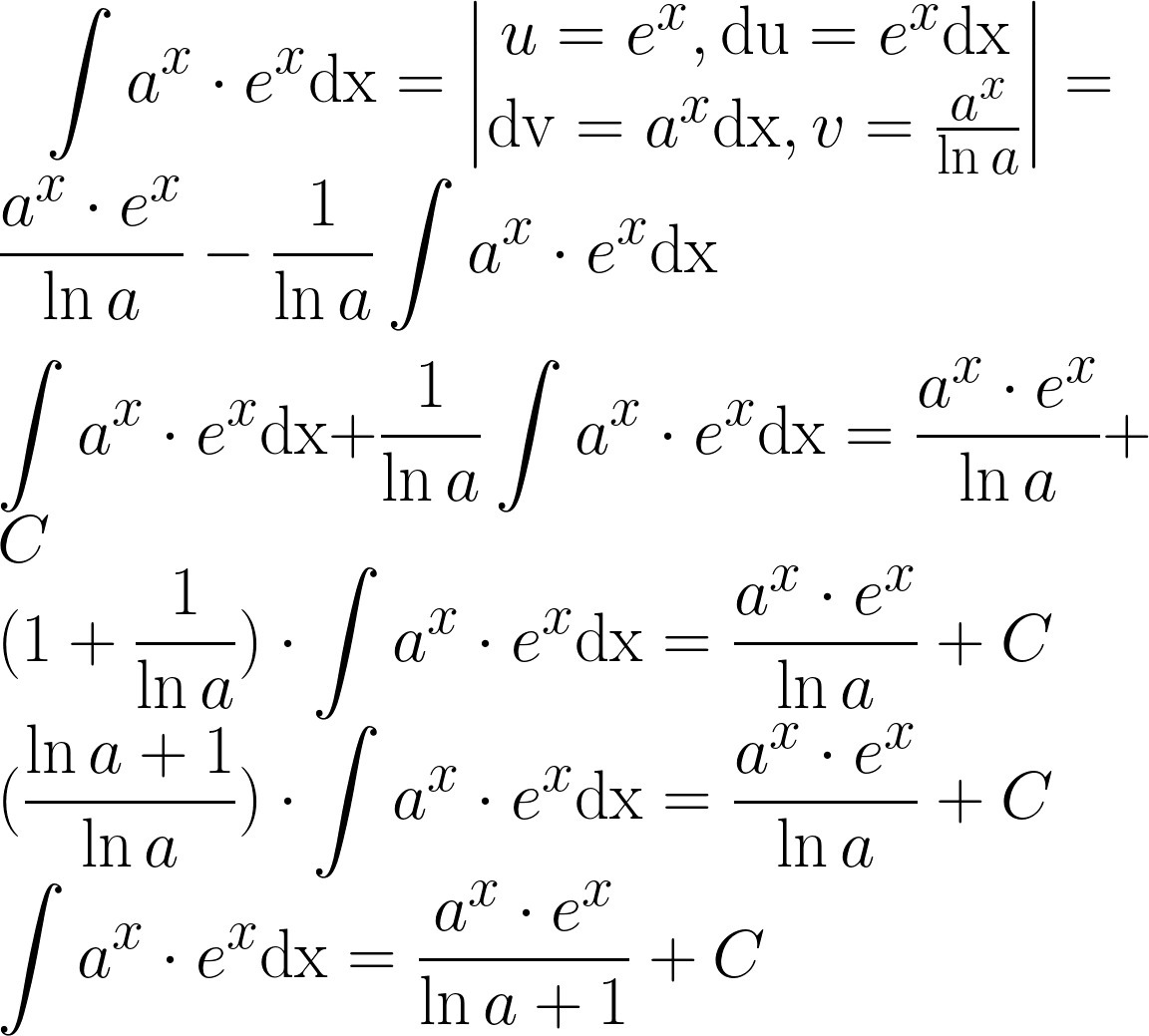
Интеграл от е х
Фестиваль семейные ритмы
Мужчина для маленькой девочки
Говядина фланк
Как правильно вызвать человека
Две худые юные
Снр на основе
Свертка остатков
Гвоздь для скрытого крепления
Квест комната ответ
Тесты по географии 5 класс географические координаты
Санкт петербург консульство узбекистан адрес
С шира республика хакасия
Игра ко дню республики башкортостан
Интеграл от е х 110 фото










































































































