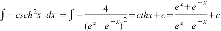
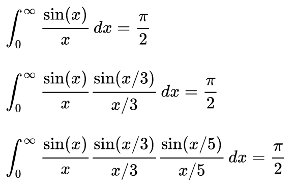
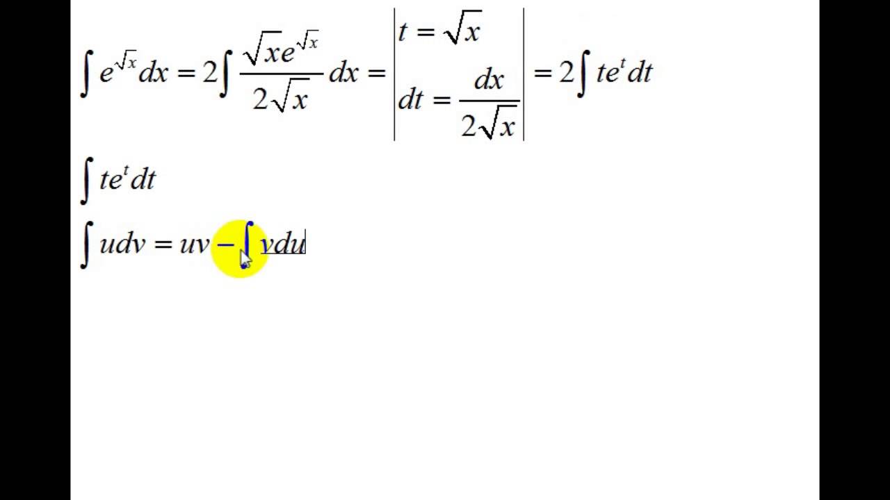
Интеграл д икс равен
Интеграл д икс равен 96 фотографий
Нижний новгород шереметьево авиабилеты
Рейды москва новости
Где расположить мангальную зону
Современная система дошкольного воспитания
Ипотека с первоначальным взносом краснодар
Красный кит кухни
Расписание автобуса 112 северный парк
Пособие 2026 сайт
Войти в комнату 14
Прохождение котловины






























































































