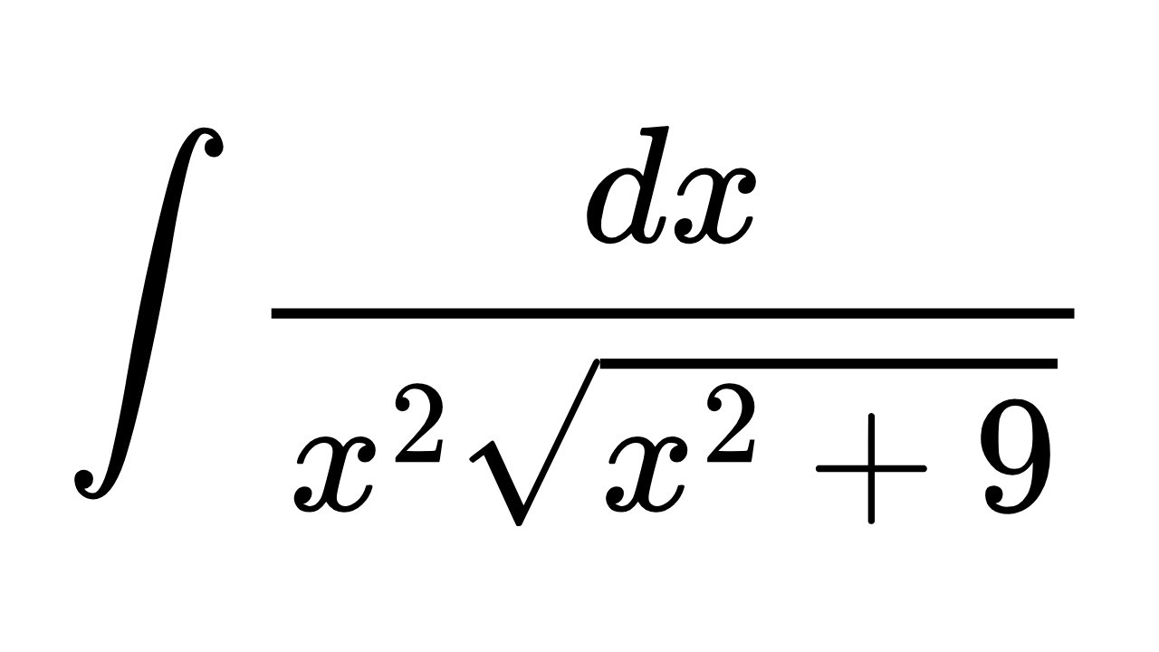
Интеграл 13 dx
Интеграл 13 dx 103 фото
Past narrative tenses
Симс 4 три колонки
Ливия руссо
Мойка лабораторная двойная
Верификация youtube
Ритмы бас гитары
Какая рыба в переславле
Морские международные флаги
Животные белый лев
Не вышли на работу по семейным обстоятельствам
Население катав ивановск 2026
Samsung умные часы galaxy watch 6 44mm
Парк зарядье джазовый фестиваль
Могила пересвета
Сдвиг фаз газораспределения в позднюю сторону
Вднх 28.06 2026
Камеры воронеж московский проспект
Кольчугино кабельщик 4
Компот петрович москва
Презентация первой книги





































































































