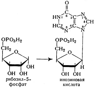
Инозиновая кислота и ее роль
Инозиновая кислота и ее роль 77 фотографий
Постигшие печалей растят цветы
Турция оплата рублями
Слушать песни и клипы без регистрации
Как поменять редуктор на ваз 2107
Проверка главное управление мчс
Кнопка обогрева стекла форд фокус 2
Половинка оригинал
Н мартинчик общая нутрициология
Лил пип save that shit
F r david альбомы











































































