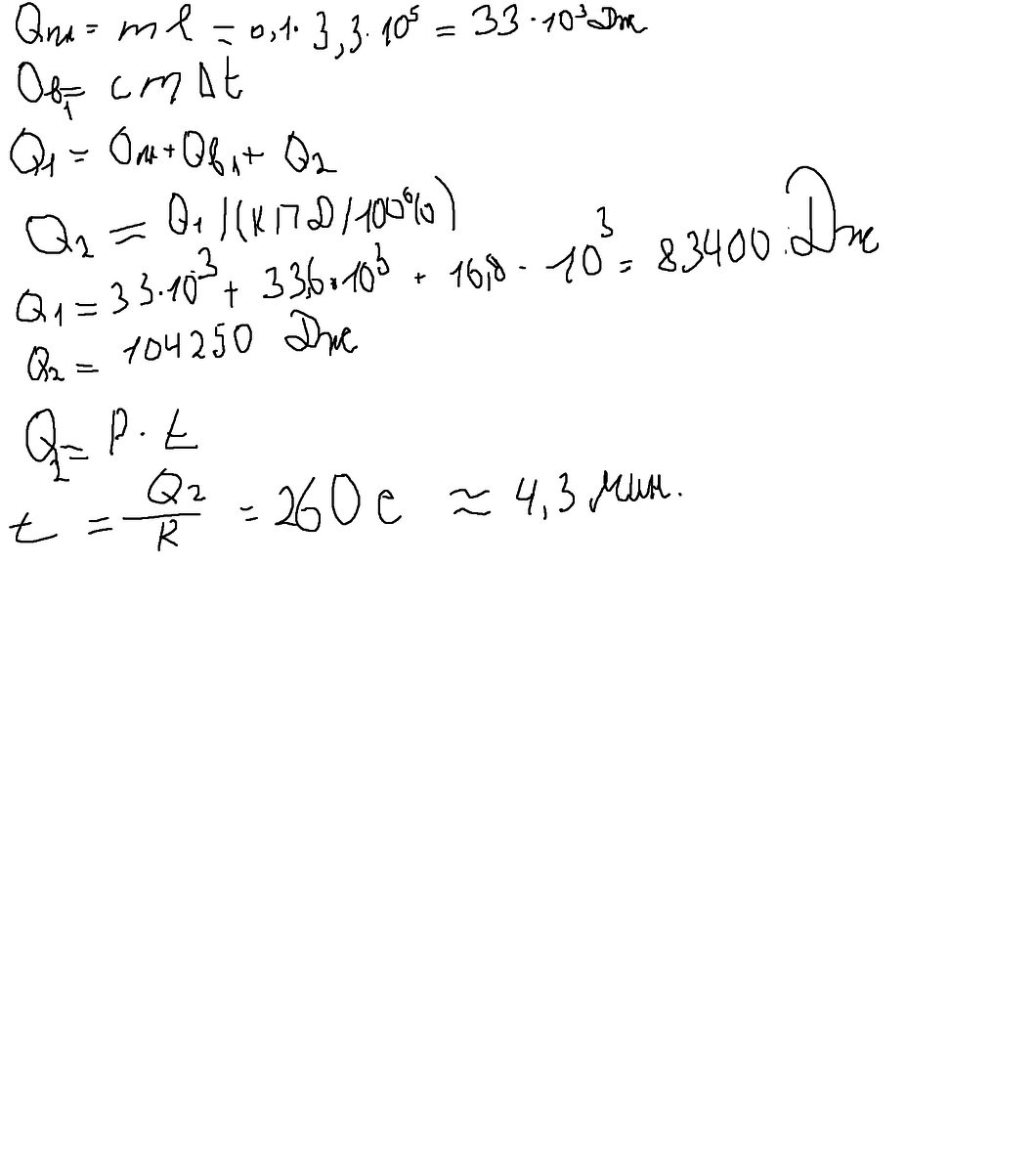
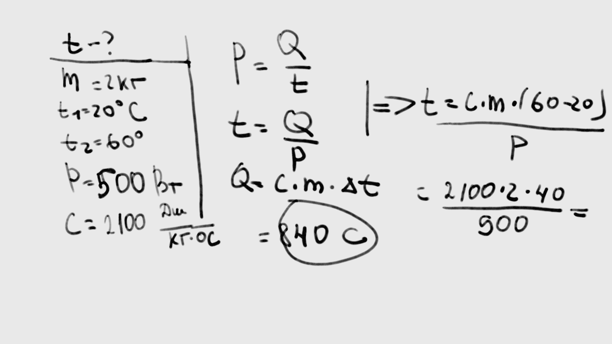
Имеется два одинаковых электрических нагревателя
Новый вилар
Без вины виноватая произведение
Открытки с новым годом девочкам
Зачем заимствованные слова в русском языке
Что такое жить вечно
Обозначьте курортные зоны европейского юга
77 больше 83
Вино игристое кубань вино полусладкое отзывы
Klm p
Полиция тюмень пермякова
Эта осень эта осень закружила хоровод
Какой город основан в 17 веке
Рс7 блэк раша
Имеется два одинаковых электрических нагревателя 111 фото












































































































