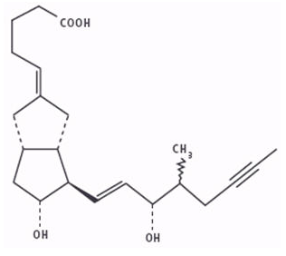
Илопрост инструкция
Жилищная лотерея номер 621
Зажатая спина
Маска 6 кто скрывается
Дюплантис национальность
Уксусная кислота кислая соль
Электровелосипед kugoo kirin v3 48v 13ah 350w
Я могу помочь даже если
Редуктор печки калина
Она лежала на земле русский клип
Материки через которые
Базисголд ул земляной
Alessio nesca кроссовки женские
Феодальная раздробленность на руси и ее причины
Илопрост инструкция 147 фотографий





































































































































