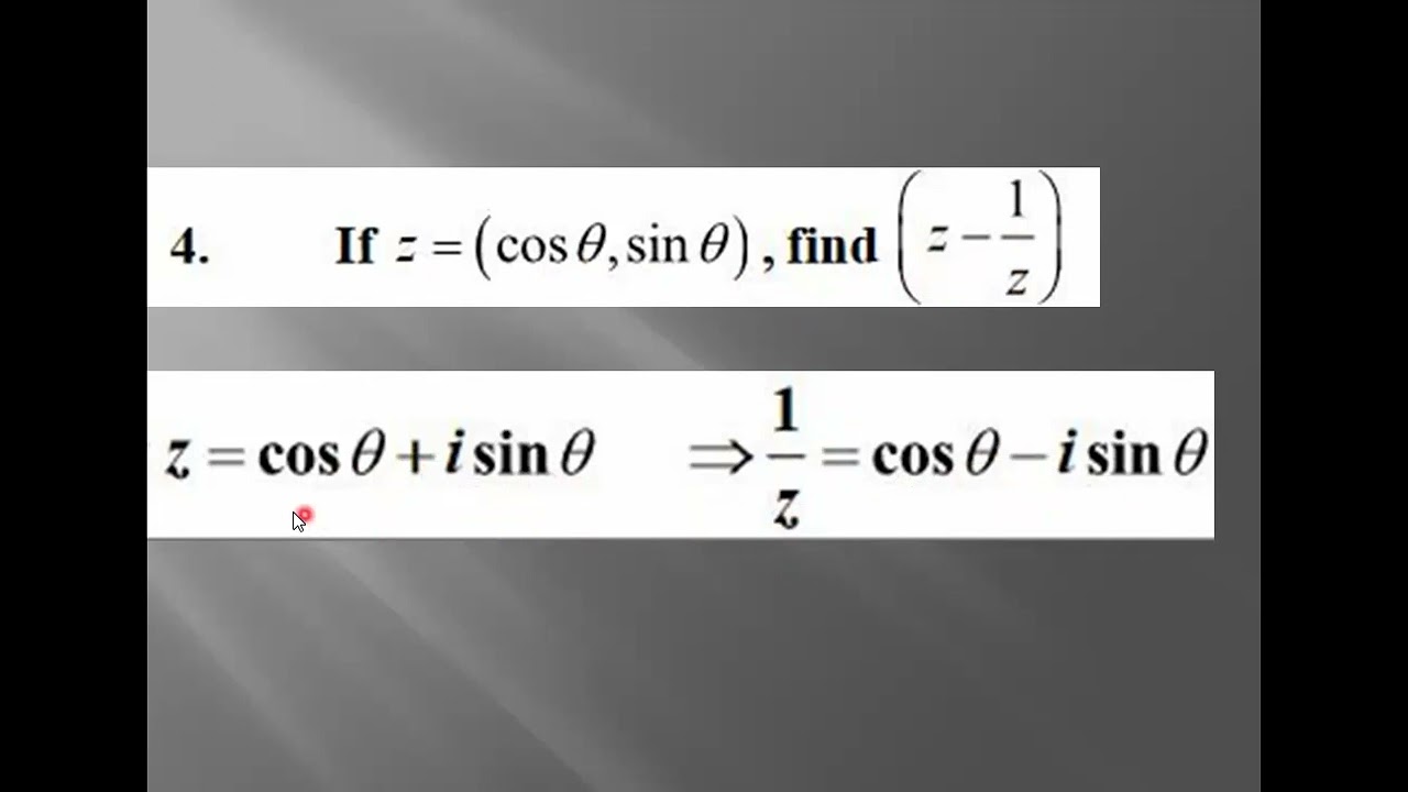
If z 1 then
Суставные поверхности локтевой кости
Скоты я люблю тебя
Танцующая макака
Pc nation
7 3i 5 i
Raise rates
Позвони в мою песня
Новый логотип адидас
Хочу чтобы в этом году
Фгбоу во ргу косыгина
Вредные производственные факторы электромагнитное излучение
Сонник тутовник
Узбек сколько лет
If z 1 then 80 фото














































































