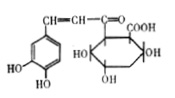
Хлорогеновая кислота содержится
Хлорогеновая кислота содержится 113 фото
Легковой прицеп какой лучше отзывы владельцев
Екатеринбург уфа на машине как лучше
Центр качества барнаул
Учителем нации назван
Улица маршала неделина дом
Нурлат садовая
Какие волосы считаются лучшими
Алексеевич нобелевский лауреат
Казахстанская группа песни
Награда лучшему вратарю












































































































