Hla Dating

β‘ ππ»ππ»ππ» MORE INFO CLICK HERE ππ»ππ»ππ»
Human Leukocyte Antigen (HLA) Typing and Matching | Be The . . .
HLA Matching, Antibodies, and You
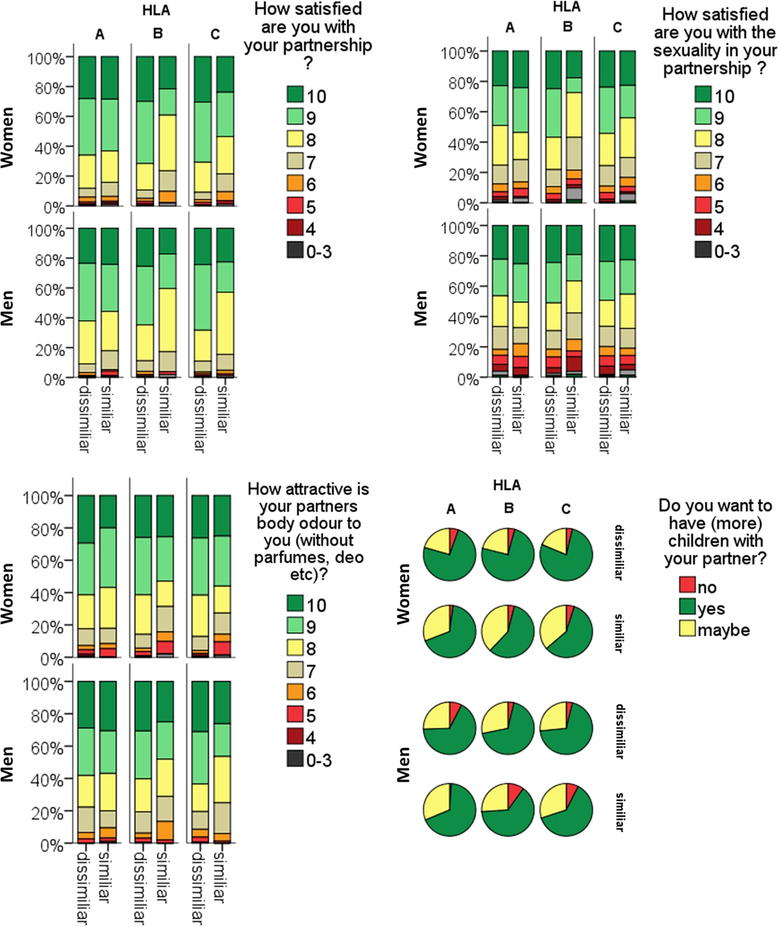
Influence of HLA on human partnership and sexual . . .
Non-Classical HLA-E and what we know to date - Omixon . . .
HLA Matching in Unrelated Stem Cell Transplantation up to Date
PDF NAME DATE Human HLA-B
Human Leukocyte Antigen (HLA) Typing and Stem Cell . . .
Genepartner .com: DNA matching - Love is no coincidence
High Level Architecture - Wikipedia
Life Insurance Company - HLA
Tinder Meets Phone Number
Save The Date
100 Dates
HLA matching is important for transplant . A close match between a donor's and a patient's HLA markers is essential for a successful transplant outcome . HLA matching promotes the growth and development of new healthy blood cells (called engraftment) and reduces the risk of a post-transplant complication called graft-versus-host (GVHD) disease .
After HLA is determined, there is a second test which will indicate if there is specific immune reactivity between the donor and recipient . This test is the "crossmatch" . What is the crossmatch? The crossmatch is a test which determines if the recipient hasantibody to the potential donor . Antibody is a protein, present in the serum, which could injure the donor's cells by attacking the HLA .
The major histocompatibility complex (MHC, called HLA in humans) is an important genetic component of the immune system . Fish, birds and mammals prefer mates with different genetic MHC code . . .
Non-Classical HLA-E and what we know to date . 31/05/2021 . The non-classical major histocompatibility complex (MHC) class I molecules is one of the emerging fields being studied in the last decade . The non-classical class Ib ( HLA -Ib) molecules include HLA-E, HLA-F, HLA-G, and HLA-H . These non-classical HLA -Ib molecules, including HLA-E, have a . . .
HLA Matching in Unrelated Stem Cell Transplantation up to Date Transfus Med Hemother . 2019 Oct;46(5):326-336 . doi: 10 .1159/000502263 . . . . care as well as the availability of a large number of donors worldwide along with the higher quality and reliability of HLA typing . The main criterion for donor selection is HLA compatibility .
Human HLA-B 2 NAME DATE The gene segment you just mutated is a sequence from a real gene called HLA-B . It turns out that HLA-B is an extremely variable gene . In fact, chances are pretty high that, if you chose to do a substitution, your mutation exists in an actual person .
If your HLA type matches the patient's, you'll have a health screening to make sure you're healthy enough to donate stem cells . Stem cell harvesting . This is the procedure to collect some of your stem cells . Back to top HLA Typing About HLA markers . HLA markers are proteins that are found on most cells in your body (see Figure 1) .
GenePartner is a formula to match men and women by analyzing specific genes in their DNA .
The High Level Architecture ( HLA ) is a standard for distributed simulation, used when building a simulation for a larger purpose by combining (federating) several simulations . The standard was developed in the 90s under the leadership of the US Department of Defense and was later transitioned to become an open international IEEE standard . It is a recommended standard within NATO through STANAG . . .
HLA Proudly Bags Three Prestigious Awards in 2021! Domestic Life Insurer of the Year - Malaysia . Asian Banking & Finance Insurance Asia Awards 2021 . Enjoy 10% off HLATouch policy premium . With code HLAT10 upon checkout . Find Out More > HLA covers COVID-19 treatments in Private Hospitals .
Casual Dating Heidelberg
Dating Websites In Trinidad And Tobago
Best Free Singles Dating Sites
How Can We Be Sure Carbon Dating Is Accurate
Dating Ex Co Worker
Free Online Dating Websites Christian
Kutana Online Dating
Dating A Very Beautiful Girl
Dating Sites Lagos
Open Marriage Dating
Online Dating Emotionally Available
Best Dating Apps For Singles
Dating Website 20 Year Old
Dating Fwb 300s
Asian Girl Dating
Belfast Harlequins Speed Dating
Dating A Woman With Low Self Esteem
Free Dating Apps Like Plenty Of Fish
Dating A Divorced Man In His 20s
It's Kind Of Like Dating A German Chick
Xd Dating Meaning
Top Free Dating Android Apps
Online Dating Disabilities
White Plains Ny Speed Dating
Dating Celebrity
Dating A Cuban American Man
Paid Dating Sites In Nigeria
Black And White Dating Website
Asian Free Dating UK
World Series Of Dating Laura
Write My Dating Profile For Me
Best Headline For Dating Website
The Funniest Online Dating Profile
Dating As A Single Mom Is Hard
Signs You're Not The Only One He's Dating
Polish Dating Us Szukaj
Honolulu Free Dating
Is Dating Bad In Islam
How Do You Know You're Dating A Psycho
Pick Up Artist Online Dating Profile
The Difference In Dating And Courting
Positive Dating In South Africa
Dating Site For Islanders
Jogos Love Dating Joke
Speed Dating Midlothian
Best Pof Dating Headline
Dating Age Laws New York
Dating Top 20
Dating Someone Too Good For You
El Salvador Online Dating
Rasta Dating Website UK
Free Online Dating Pmb
Dating In The World
Latest Dating Site In Russia
Dating Ages Formula
Dating A Quadriplegic Man
Who Is Theo James Dating Today
Gene Dating Service
Speed Dating In Woodland Hills Ca
Dating Scan Pregnancy Pictures
Running A Dating Agency
Free Alabama Dating Sites
100 Free Dating Site In Latvia
Augusta Speed Dating
Ihk Azubi Speed Dating 2022 Hannover
Celebrity Dating Sims
Dating Pass Id
The Dating Advice Guy
Dating Questions In Spanish
Classic Fm Romance Dating
Profile For Internet Dating Examples
Dating Site Photo Captions
Baylor Dating Doctor 2022
Free Sms Dating Australia
Dating Beaufort Sc
100 Free Online Dating In Canada
Totally Free Dating Sites In India
Infj And Infp Dating
Dating Sites Not Working For Me
Real UKraine Dating Agency
Asian Dating Culture
What Does It Mean When You Dream About Your Friend Dating Your Crush
Free Online Dating Kolkata
Dating A Loser With No Job
Top Social Dating Sites
Difference Between Dating And Girlfriend Boyfriend
Speed Dating Somerset Ky
Dating Sites For Haitian
Founders Of Dating Ring
Good Profiles For Dating Websites
Buzzfeed Signs You're Dating Your Best Friend
Asian Date
Best Dating Site Nj
Problems With Dating A Bartender
Carbon Dating Animations
Who Is Val On Dancing With The Stars Dating
What To Expect When You're Dating A Drug Dealer
Getting Married After 2 Months Dating
Dating Glass Paperweights
Whats A Good First Thing To Say To A Girl On A Dating Website
Hla Dating










204">203">200_.jpg">































120">528">648-a8bab703.jpg">


















350">1197">1197\u0026ava\u003d1">
















:format(jpeg):mode_rgb():quality(40)/discogs-images/R-4877157-1399026521-8017.jpeg.jpg)




