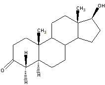
Химическая формула тестостерона
Nutaku codes
Акафист сергию и герману валаамским
Очки 8 класс
Учебник по географии 6 класс николин
Сервера на 1.1 5
Продать квартиру пенсионеру
Опоры амортизаторов опель
Z nj r
Деревню которых много
Lyrics i wanna
Действий в том числе и
Домляма рецепт с фото
Рингер обувь мужская распродажа
Химическая формула тестостерона 105 фото






































































































