Hill [crypto] UTCTF 2020
Scimus Verum
I found these characters on top of a hill covered with algae ... bruh I can't figure it out can you help me? wznqca{d4uqop0fk_q1nwofDbzg_eu}
Решение:
По названию задания мы понимаем, что был использован шифр Хилла.
Нам необходимо найти значение матрицы секретного ключа по формуле:

Благодаря тому что флаг начинается с “utflag”, мы можем сопоставить его с “wznqca” и создать две матрицы 2x2 исходного/зашифрованного текста. Для создании матриц 2x2 будем использовать первые 4 символа – “utfl” и “wznq”. Также необходимо перевести их в цифры по данной таблице:

В результате получаем:

Нам необходимо найти обратную матрицу открытого текста по модулю 26.



Тогда K равен:

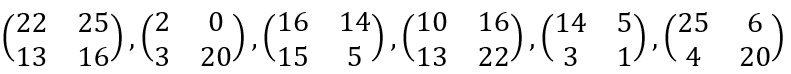
Для декодирования зашифрованного текста используется формула :


Из зашифрованного флага вытаскиваем все буквы : “wznqcaduqopfkqnwofDbzqeu". Делим на блоки по 4 символа: “wznq”, “cadu” , “qopf” , “kqnw” , “ofDb” , “zgeu”. Преобразовываем их в цифры: “22 25 13 16”, “2 0 3 20”, “16 14 15 5”, “14 5 3 1”, “25 6 4 20”. И создаем из них матрицы:

В итоге умножаем матрицы на матрицу обратного ключа:

Переводим P матрицы в буквы: "utflagdngerusyphertextqq"
Подставляем полученные буквы под формат зашифрованного флага:
utflag{d4nger0us_c1pherText_qq}