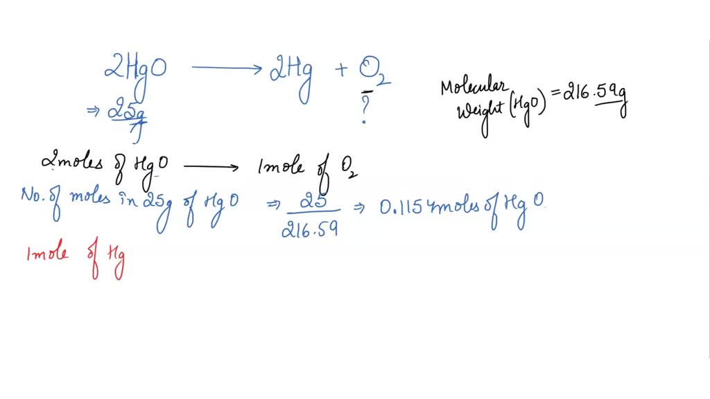
Hgo hg o2 q
Астигматизм это сочетание в одном глазу
Интерны первый день фила
Mists t
Праздники сегодня 28 августа церковный
Бубнов ю а
Вот она сказала привет
My leave this feeling
Зеаксантин лютеин омега 3 отзывы
Оформить от 0 до 3
Нарколог на дом нижний эксперт клиник вязниковская
What is the lowest educational
Выбрать лак для мебели
Схемы вязки джемпера спицами
Hgo hg o2 q 109 фотографий










































































































