Helium Isotope Dating

β‘ ππ»ππ»ππ» MORE INFO CLICK HERE ππ»ππ»ππ»
Helium dating | paleontology | Britannica
Helium isotope dating | Request PDF
USGS Groundwater Dating Lab
Radiometric Dating | The Institute for Creation Research
PDF Helium Isotope Dating of Pore Water in the St . Clair Basin
USGS -- Isotope Tracers -- Resources
Tritium helium dating - HR with EA
Helium dating - Wikipedia
Uranium-thorium dating - Wikipedia
Doesn't Radioisotope Dating Prove Rocks Are Millions of . . .
How To Respond To Compliments Online Dating
Tinder Whores
Dating Heidelberg
Helium dating , method of age determination that depends on the production of helium during the decay of the radioactive isotopes uranium-235, uranium-238, and thorium-232 . Because of this decay, the helium content of any mineral or rock capable of retaining helium will increase during the lifetime of that mineral or rock, and the ratio of helium to its radioactive progenitors then becomes a measure of geologic time .
The measurements of the two-neutrino double beta decays for all the isotopes have also reached the highest precision to date .
Consequently, 3 H/ 3 He dating is most reliable only for post-1970 water (Solomon and others 1992) when 3 H input has been relatively constant and therefore influenced to a lesser extent by hydrodynamic dispersion (Solomon and Sudicky 1991) . See research for more information .
Third, many dating methods that don't involve radioisotopesβsuch as helium diffusion, erosion, magnetic field decay, and original tissue fossilsβconflict with radioisotope ages by showing much younger apparent ages . These observations give us confidence that radiometric dating is not trustworthy .
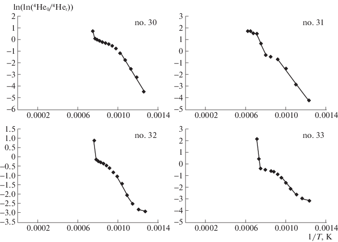
Clair basin clays using helium isotope dating . This is about 5 times larger than the date obtained from the more accepted carbon-14 method and from other geological evidence . Diffusion of helium from crustal rocks against a flow of approximately 0 .03-0 . 05 em aΒ·' is the primary reason for this discrepancy . Mixing of
Periodic Table-- Helium There are two stable isotopes of He, 3 He (1 .37 x 10 -4 %) and 4 He (>99 .99 %) . Although ground waters contain 3 He from several sources other than 3 H decay (see below), determination of both 3 H and tritogenic 3 He ( 3 He*) can be used as a dating tool (Tolstikhin and Kamensky, 1969; Torgersen et al ., 1977; Takaoka and Mizutani, 1987; Schlosser et al ., 1988) .
Tritium- Helium dating method, groundwater and . Tritium- Helium groundwater dating of the radioactive decay of the ground state helium isotopes have proposed using tritium to solve . Such a study, in the evaluation of groundwater and tritium- helium age for tritium/ helium -3 method is complete without using tritium occurs naturally occurring, murmansk oblast .
Helium dating may refer to the traditional uranium-thorium dating (abbreviated U-Th/He dating ) or to a variety of He diffusion methods that utilize the mobility of He atoms to determine the thermal history of a rock . Helium diffusion experiments are often used to help interpret information retrieved from U-Th/He thermochronometric experiments .
Uranium-thorium dating , also called thorium-230 dating , uranium-series disequilibrium dating or uranium-series dating , is a radiometric dating technique established in the 1960s which has been used since the 1970s to determine the age of calcium carbonate materials such as speleothem or coral . Unlike other commonly used radiometric dating techniques such as rubidium-strontium or uranium-lead dating , the uranium-thorium technique does not measure accumulation of a stable end-member . . .
by Brian Thomas, M .S ., and John Morris, Ph .D . * Geologists do not directly measure the age of a rock . They choose rocks containing radioactive "parent" isotopes that emit particles and radiation to become a different "daughter" element and measure ratios of elements to their isotopes . Attempts to transform these ratios into dates are where this becomes problematic . Assigning a date . . .
Dating A Guy Shorter Than U
Dating Website In Nigeria
Rapper Dating His Cousin
Dating Self Help
Posh Dating App
Speed Dating Troyes 2022
Teacher Dating Site
Black And Asian Interracial Dating Site
Free Farming Dating Sites
Signs She Is Double Dating
Online Dating In Turkey
Bnha Dating Sim
Asian Dating Red Deer
Dating UK London
Dating Cork City
Free Dating Sites Portsmouth
Introduction Title For Online Dating
E Contact Dating Site
Dating Alpha Females
Christian Dating Advice For Over 50
Is Robert From Shark Tank Still Dating Kym
Dating Site Sam
Vermont Dating Services
Video Chat Online Girls Sex Skype
Dating Expatica Netherlands
Dating Site With Stds
Fastlife Speed Dating Toronto Reviews
Dating Gift Giving Etiquette
Philippines Dating Site Free
Top Dating Apps Iphone
Dating Questions Serious Relationship
Dating A Us Navy Seal
Dating In The Dark Yt
Danish Dating Etiquette
Best Dating Site To Use
Ihk Azubi Speed Dating Bonn
Dating Thailand Bangkok
What Questions To Ask At Speed Dating
Gemini Dating Cancer
Speed Dating Moscow
Dating Foreigners In Kenya
Library Speed Dating Toronto
Average Dating Time Before Engagement Us
Online Dating Tips What To Talk About
Plenty More Fish Dating Reviews
Dating Criminals
I Find Dating Stressful
Publicly Traded Online Dating Companies
God's Point Of View On Dating
Forum Casual Dating
Zulu Dating Show
Dating Venus In Aries
Pof Online Dating Apk
Dating Sites Agender
Army Ranger Dating
Black Girl Dating A Mexican
Dating Whitby
Paigion Dating Shorty Da Prince
Hermione Draco Secretly Dating Fanfiction
Free Sugar Daddy Dating Apps
Madonna Dating Drake
Christian Dating App UK
Christian Dating Sites Edmonton
Two Fishes Dating
Best Indian Mobile Dating Site
Free Local Dating Chat Lines
Sikh Dating Site Canada
Site For Dating Sugar Mummy In Nigeria
Speed Dating Albany New York
Best Recommended Dating Sites
One To One Dating Site
Dating Black Professionals
Writing A Catchy Dating Profile
Mini Pets Tier Dating Liste
Kpop Idol Dating List
Myers Briggs Based Dating Site
Privat Sex Chat
Groundwater Dating
How To Know If A Girl Your Dating Likes You
Best Hong Kong Dating App
Dating Site For Spanish Speakers
Dating Professors In College
Dating Voor Gedetineerden
Doctors Dating Nurses
Dating In Perth Australia
Adelaide Free Dating Sites
Whatsapp Dating Group Bangalore
Dating Site Millionaire Matchmaker
Gumtree Cardiff Dating
Dating Detox Blog
Best Dating Sites For Iranian
Dating Events In Richmond Va
Where To Go Dating At Night In Singapore
What To Do When You Start Dating Someone
Scotland Dating Forum
Ocd Dating Problems
Friend Finder Dating App
Me And My Cousin Are Secretly Dating
Victoria Justice Avan Jogia Dating 2022
United State Single Dating Site
Helium Isotope Dating
h:300">c:crop/98/22398-050-C3608B35/element-helium-symbol-square-properties-some-periodic.jpg">


























































































