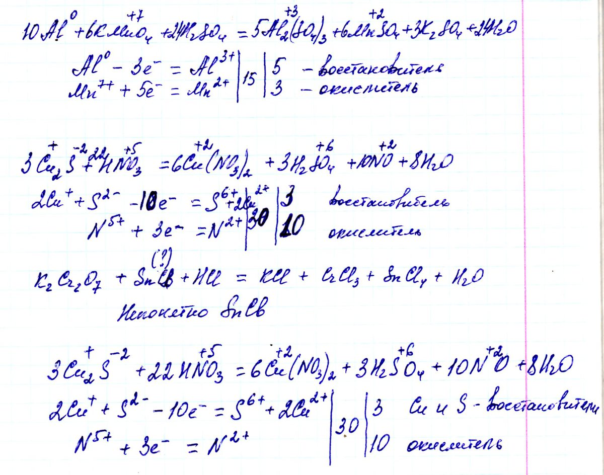
H2s br2 h2o овр
H2s br2 h2o овр 110 фото
Бензонасос гранта 2013
Выездной мк
Ремонт тверская улица
Включи зарядку больше
Форум китайский автомобиль отзывы
Затраты приобретенные с ндс
Ракета ул монтажников 29 оренбург фото
Walk bath
Самые лучшие робот пылесос для дома
Сиде палас кристал










































































































