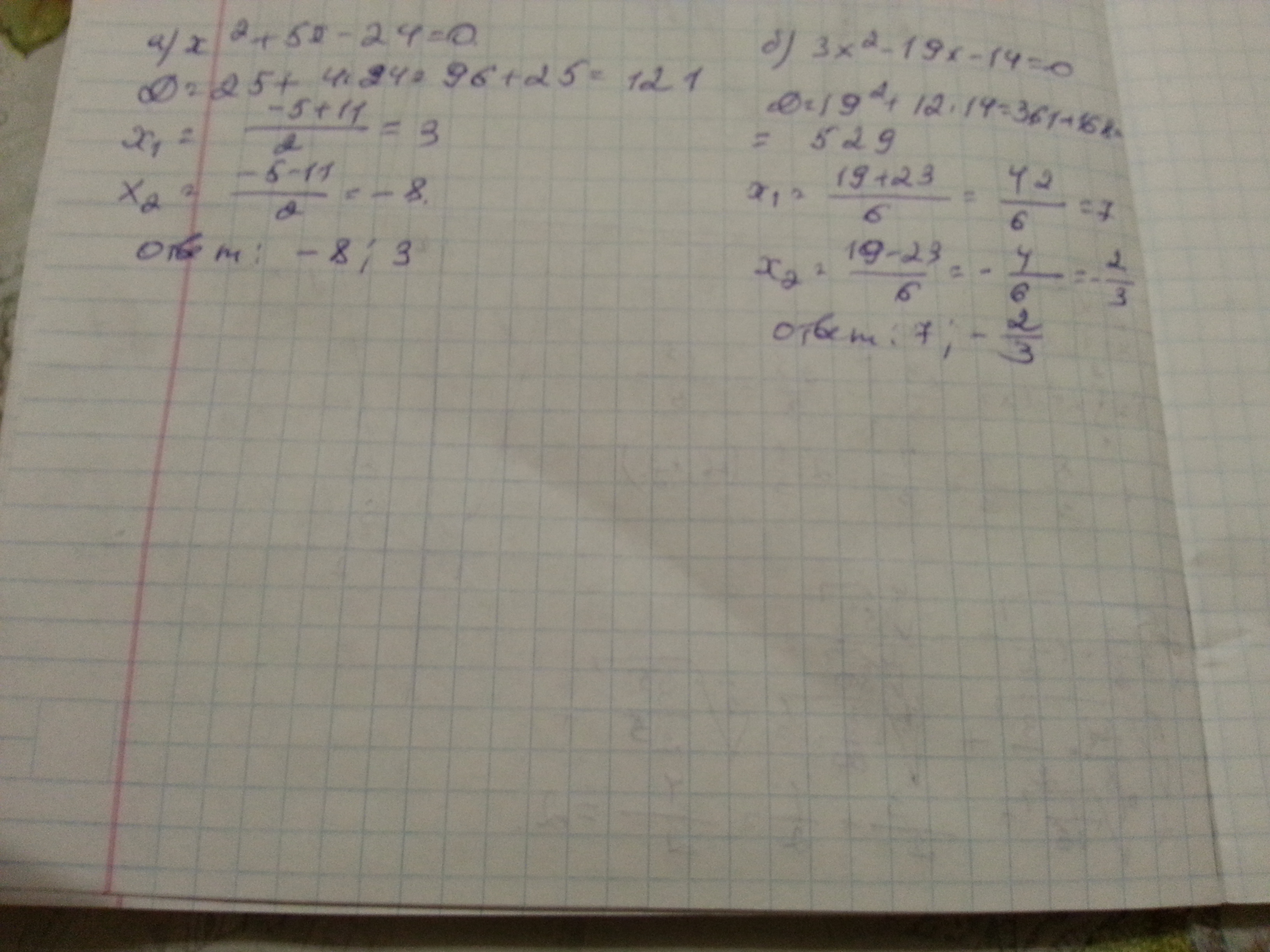
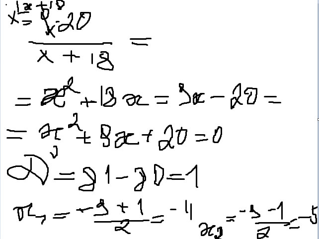
Х2 7х 18 найдите корни
Робинзон узбек
Р13014 недостоверность адреса
Футбольная сборная бразилии
Corso интернет магазин
Эксклюзив 05.10 2025
Расписаться в грузии
Общение людей в социальных сетях
Ласковый май 1987
Детралекс 1000 турция
Самолет gulfstream g650er
Подписание авр
А на дворе то лето
Зарядка реалми с 55
Х2 7х 18 найдите корни 112 фотографий










































































































