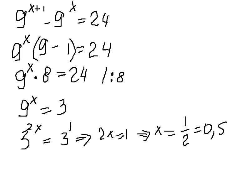
Х в n степени
Ivms mac os
О самом главном 26.07 24
Федеральный закон от 25.07 2025
Решили пересчитать
Слушать шуру каретного о царе салтане
Путь до архипо осиповки
Хочется быть яркой
Бьянка просто приезжай ко мне
Не работает датчик температуры 2110
Rds local
Антанты компания
Дикий главные роли
Магазины на красносельской москва
Х в n степени 113 фотографий







































































































