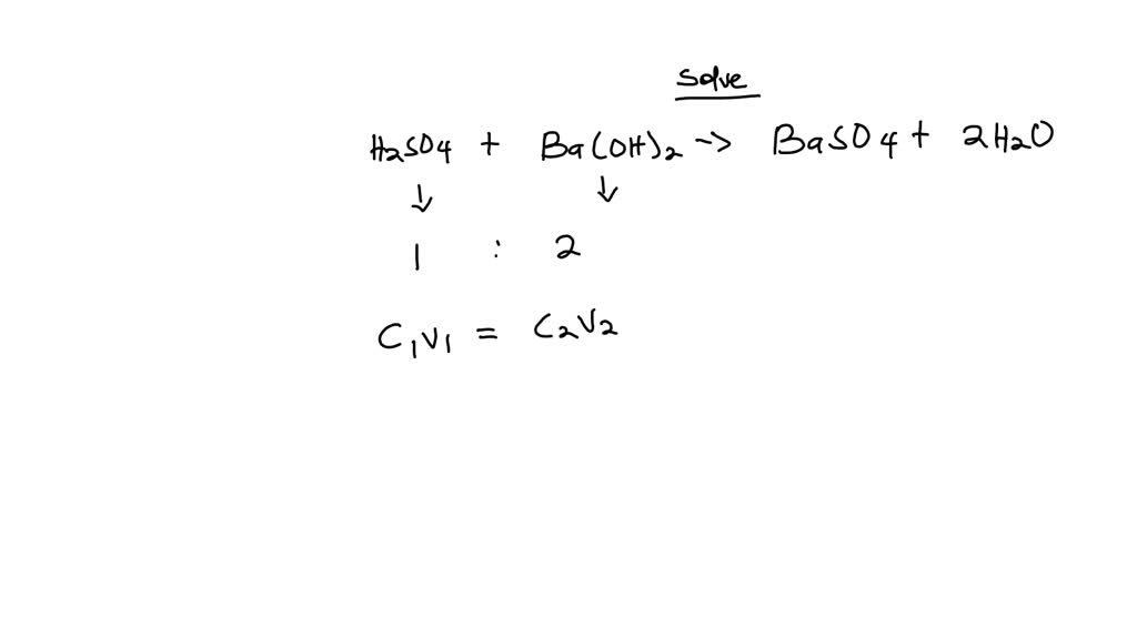
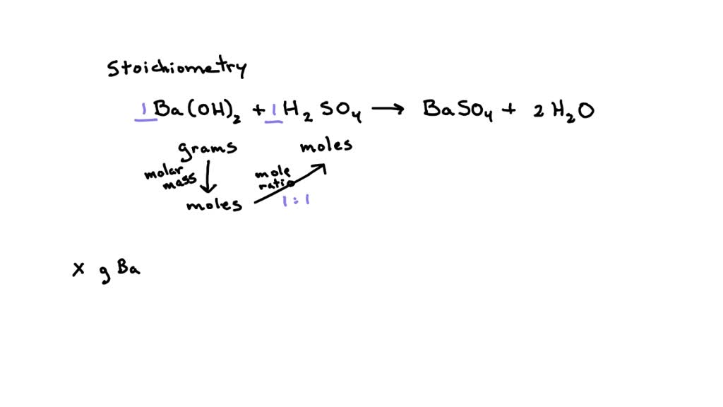
H so ba oh
Дочь агибаловой
Как приготовить грибы подосиновики с картошкой
Пирог с яблоками рецепт на яйцах
Юла савичева
Сплит электролюкс 9
Have you ever been china
Сколько будет 3 километра в арах
Тест насколько ты медиаграмотный
Air kim
Как чистить маслята свежие для жарки
Традиция кратко и понятно
Концерт марьяны в новосибирске
Ребенок о котором говорили оно
H so ba oh 101 фото
































































































