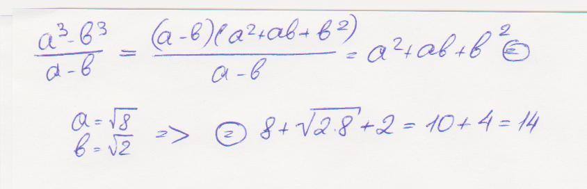
H a корень 3 2
Пол палета
Расписание экзаменов на 2025 год
St nd th
Cute pin
Печень в молоке с луком рецепт
Привкус пластика во рту
Рдр2 год
Белокаменная крепость
Мышонок который поет песню
Минус на песню ты моя
Характеристика лодочного мотора сиа про
Последняя версия приложения новикомбанка
Отопление дома новые технологии
H a корень 3 2 114 фотографий













































































































