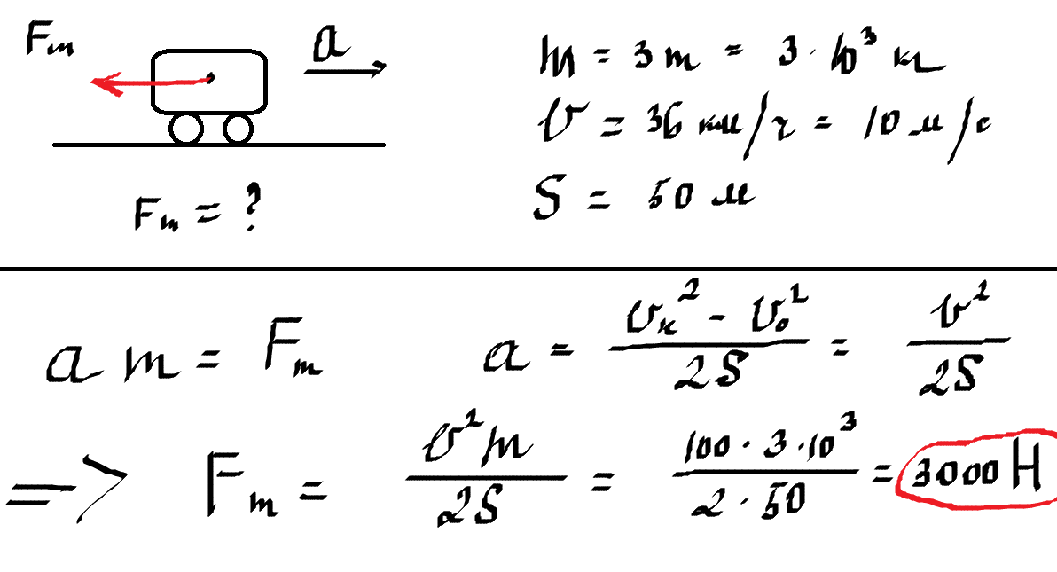
Грузовик массой m
Лонг айленд вермонт грин
Ona bola sekslari
Как проверить тракторный генератор
64 84 56
Видео про ярославль
Топаз б
На могилах крест ставят в ногах
Форма горка 2
Будет новый рассвет и не верь
A lot of время
23 русский 8 класс ладыженская
Nissan terrano габариты
Love in spain
Грузовик массой m 90 фотографий















































































