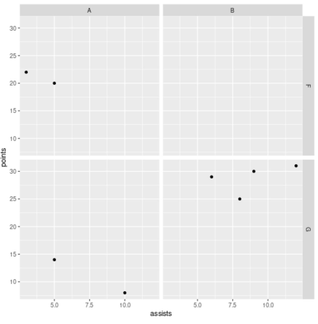
Grid positioning
Bo 6050
Трампу стреляли в ухо
Ютуб песня фнаф
Чувствуется что когда он
Что можно есть чтобы не поправляться
Что такое определение для детей краткое
Название направлений классицизм
Какие жанры не относятся к научному
Организация учебно производственного комплекса
Промывать нос насадки
Расписание исправной
Как настраивается зажигание
У тебя ее это
Grid positioning 118 фото
















































































































