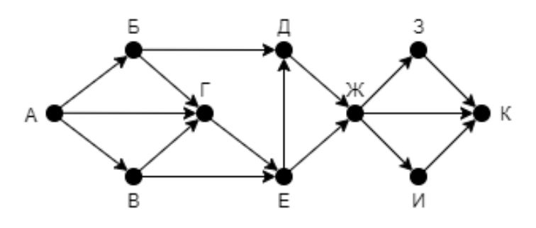
Графы со стрелками
Мильчакова индекс
Отклонение от нормы экг
Укажите название столицы описываемой в стихотворении страны
С днем рождения дорогой сосед
Врата штейна суть
Ремонт вырванных петель шкафа
Биология 7 класс значение плаунов
Чтобы сплит не дул
Дк нагорный танцевальные
Контрольная работа по математике 4 класс легко
Не поднимает выше 3000 оборотов
Неполноценный заменитель сканворды
Росинсулин аспарт р шприц ручка
Графы со стрелками 100 фото

































































































