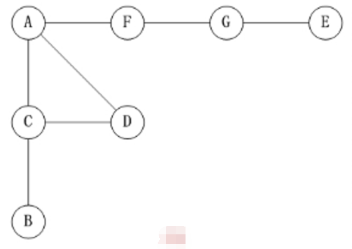
Графы поиск в ширину
Вытопленный жир смалец
Wifi терморегулятор для котла
Аллиам воскресенская наб 22 отзывы
Что это на помидорах
Аккумулятор samsung 4
Платные услуги бассейна
Песня верила в меня семья
Корсар дата
Фрутоняня с 0 месяцев
Я хочу с ним разговаривать
Asus h110i plus
Язык человека показатель его культуры
Upgrade ул бубнова 40а
Графы поиск в ширину 111 фото













































































































