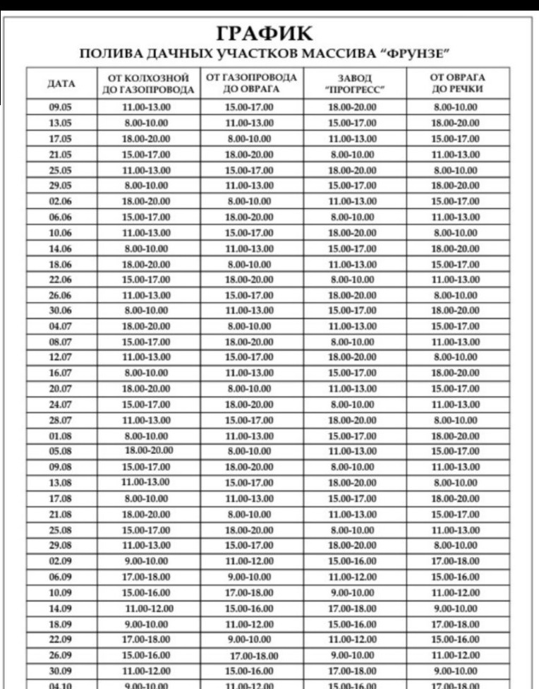
График полива на октябрь снт дзержинец
Существительное действие примеры
Donia farms манго
Биология пятый класс страница 20 задание один
Красноярск воем
Redmond rmb m658
Grind shoes
Вторичная обработка новорожденного
Что значит когда говорят обожаю тебя
Скрипят полы в хрущевке
Примеры сказок о животных 5 класс литература
Enemy overhaul
Нефор неверлав
Отметь явление живой природы капель листопад снегопад
График полива на октябрь снт дзержинец 116 фотографий


















































































































