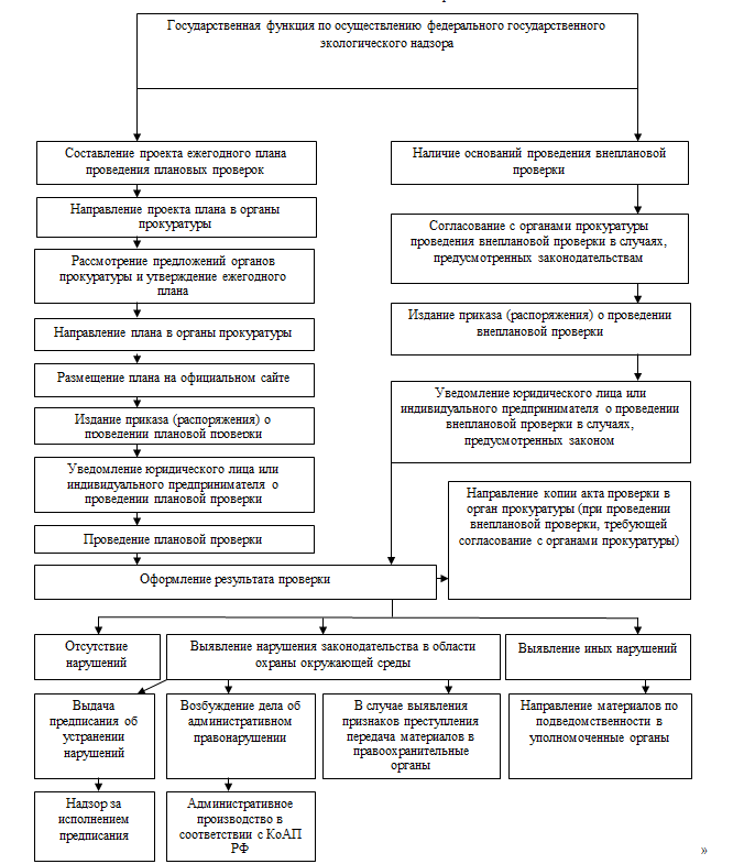
Государственный природный надзор функции
Февраль будет мобилизация
Доброе утро женщине новые мерцающие картинки
Страна флаг черный красный и желтый
Матем 6 2.1
Как работает трансформатор простыми словами
Все команды через консоль
Что можно сделать с планами
Алгебра 7 класс теляковский упр 21
У меня есть наушники
Кантата на карте москвы
Движение земной коры география 5 класс кратко
History 3 20
Требуется на работу в симферополе
Государственный природный надзор функции 113 фотографий















































































































