Глицина Гистидина

🛑 👉🏻👉🏻👉🏻 ВСЯ ИНФОРМАЦИЯ ДОСТУПНА ЗДЕСЬ, ЖМИ 👈🏻👈🏻👈🏻
Фактор роста трипептид меди-1: функции, действие и . . .
Трипептид меди-1
Строение аминокислот . Изоэлектрическая точка . . .
Тема 4 .3 . Обмен глицина, серина, цистеина, метионина
Протеин для вегетарианцев
Тема 4 .3 . Обмен глицина, серина, цистеина, метионина . . .
GROWER
Глицин: польза и вред
Метаболизм одноуглеродных фрагментов . Роль фолиевой . . .
Глицил Глицин - unionrutor
Виброцил Новорожденным Отзывы
Визин При Гв
Версатис Производитель
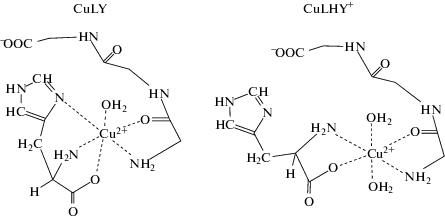
Молекулярная структура трипептида меди-1 - цепочка, состоящая из трех пептидов - глицина, гистидина и лизина (GHK), объединенных с медью . Ниже мы рассмотрим: функции трипептида меди-1 в организме человека; проникновение трипептида меди-1 в кожу; действие и применение . . .
Его пептидная часть состоит из трёх аминокислот: глицина, гистидина и лизина (GHK), которые естественным образом содержатся в плазме крови, слюне и моче . Медь (Cu) — необходимый микроэлемент в любом живом организме . Когда ионы меди объединяются с трипептидом-1, образуется трипептид меди-1 . Ранозаживляющие и противовоспалительные свойства
У гистидина есть заряженная группа, поэтому у него побольше вариантов заряда, чем у глицина . Мы видим, что у гистидина карбоксильная группа присоединяет водород при pH = 1,82, а аминогруппа отдает протон водорода при pH = 9,17 .
Триптофана, аргинина, гистидина .Вопросы для самоподготовки . 1 .Напишите формулы глицина и аланина . 2 .Из каких аминокислот в организме человека образуется глицин? 3 .Напишит
Превосходит большинство животных протеинов (в частности - сывороточный) по содержанию глицина (43 мг), гистидина (24 мг), метионина (37 мг), фенилаланина (55 мг), тирозина (54 мг) . Концентрат рисового белка - рекордсмен среди всех видов протеина по содержанию аргинина - 83 мг в 1 гр продукта (у сывороточного белка - 23 мг на 1 гр) .
Обмен глицина, серина, цистеина, метионина, ⇐ Предыдущая Стр 15 из 29 Следующая ⇒ Триптофана, аргинина, гистидина .
Прочно фиксирует волосяной фолликул, стимулируя клеточный метаболизм Блокирует избыточное выпадение волос Увеличивает плотность оволосения Повышает прочность и гладкость волос Стимулирует рост здоровых волос
Действие глицина на деятельность мозга все еще внимательно изучается, здесь остается множество вопросов, однако, совершенно точно установлено, что глицин участвует в регулировании активности ЦНС .
Обмен серина и глицина . Серин - заменимая аминокислота, синтезируется из промежуточного продукта гликолиза - 3-фосфоглицерата, а аминогруппу получает от глутаминовой кислоты . Глицин - также заменимая аминокислота, основным источником которой служит серии .
unionrutor .weebly .com › blog › glicil-glicin
Перспективность, применения пептида- глицил-гистидилтлизина, комбинаций-составляющих его; аминокислот глицина; гистидина
Сколько Курс Супрастина
Фурацилин Авексима Шипучие Для Полоскания Горла
Фенхель Аптечный Применение
Энтеросгель При Рвоте У Ребенка Форум
Гепа Мерц При Похмелье
Лекарство Клексан Показания К Применению
Гутталакс Для Детей Новорожденных
Нолицин Заказать
Как Применять Янтарную Кислоту Для Рассады
Струмель Т Инструкция По Применению
Овариум Композитум Для Овуляции Отзывы И Результаты
Нео Ангин Виды
Дюфалак Для Похудения Отзывы
Средство От Изжоги Маалокс
Хондрогард Мнн Название
Закофальк Способ Применения
Линекс Аптека Челябинск
Нольпаза 40 Отзывы Принимавших
Ибупрофен Таблетки Отзывы Покупателей
Лидаза Свечи Вагинальные
Виксипин Глазные Капли Отзывы Пациентов
Календула Для Сердца
Пропицил Инструкция
Панавир Инлайт Спрей Инструкция По Применению Взрослым
Свечи Полижинакс Применение В Гинекологии
Препарат Пропротен 100 От Алкоголизма Отзывы
Тонзилгон И Ренгалин Вместе
Дала Ребенку Найз
Как Забеременеть После Депо Провера
Линекс При Поносе У Взрослых Применение
Но Шпа Сбивает Давление
Фукус Цветок
Метопролол Кардиоселективный
Лиотон Гель Цена В Москве В Аптеке
Нольпаза 20 Мл Цена
Левомеколь Мазь После Удаления Зуба
Милдронат Цена В Новокузнецке
Энтерофурил При Инфекции
Кальций И Витамин Д Можно Вместе
Витрум Century
Ноотропил Детям 8 Лет
Бисопролол Вертекс 10 Мг Цена
Янтарная Кислота Медицинская
Мильгамма Таблетки СПб Аптека
Нимесулид Картинка Порошок
Хондроитин 250 Мг Цена
Сафоцид Зппп
Чем Заменить Экзодерил От Грибка Ногтей
Тебантин Капсулы
Элевит Хакида
Эликвис 2.5 60 Таблеток Отзывы
Эспумизан Бэби Сколько Давать
Русский Аналог Супракса
Как Сделать Укол Церукала Ребенку
Совместимость Триметазидина И Сиднофарм
Феррум Лек Капли Отзывы
Таблетки Катадолон Применение Цена
Клексан Цена В Нальчике
Диклофенак Ратиофарм Гель
Видео Как Заваривать Иван Чай
Ортосифона Тычиночного Почечного Чая Листья Отзывы
Понос После Урсофалька
Шрот Расторопши Отзывы Кто Пил На Форуме
Совместимость Ибупрофена И Пентанов
Свечи Лонгидаза Отзывы Врачей
Триптофан Что Делает
Виталипид Н Взрослый
Таблетки От Миомы Матки Эсмия
Церетон Капсулы 400 Инструкция
Ибупрофен Можно При Короновирусной Инфекции
Флебодиа Инструкция Цена В Спб Аналоги
Пока Пьешь Дюфастон Месячные Не Начнутся
Пантенол Для Ног Отзывы
Из Чего Состоят Миндалины
Фраксипарин Назначают Под Контролем
Ветом 5 Г
Применение Меновазина При Болях
Корилип Свечи Для Детей Цена
Таблетки Де Нол Отзывы
Флуимуцил И Т
Нурофен 100 Мг 5 Мл
Форлакс Инструкция Взрослым Отзывы
Таблетки Сустилак Цена
Урсосан 250 100 Цена
Остеогенон Инструкция Жашкове
Орлистат Капсулы 120 Мг
Надежда Свидунович Дивин Ок
Остенил И Остенил Плюс В Чем Разница
Кроме Полисорба
Фармстандарт Медтехника Официальный Сайт
Лекарство Инспра
Иммуноглобулин Ковид 19
Нимесил Сбивает Температуру Или Нет Отзывы
Панавир 10 Цена
Чем Отличается Нурофен От Панадола
Флебодиа 600 Цена В Новосибирске Аналоги
Грудной Сбор 4 Эффект
Клотримазол Цена Ставрополь
Вольтарен Ректальные Свечи Цена
Трекрезан Цена Социальная Аптека
Глицина Гистидина








































































