Гидролиз Трипсином

🛑 👉🏻👉🏻👉🏻 ВСЯ ИНФОРМАЦИЯ ДОСТУПНА ЗДЕСЬ, ЖМИ 👈🏻👈🏻👈🏻
Гидролиз трипсином — Здоровье феникса
Гидролиз белков и пептидов трипсином - Справочник химика 21
гидролиз трипсином - это . . . Что такое гидролиз трипсином?
Трипсин — Википедия
Исследование влияния ферментативного гидролиза трипсином . . .
трипсин . Свойства и применение в производстве . . .
Гидролиз казеина - Справочник химика 21
Влияние температуры на гидролиз тромбином и трипсином . . .
Переваривание и всасывание белков, пути обмена - MedFsh .ru
trypsin-cleaved | English to Bulgarian | Medical (general)
Тиоцетам Латынь
Предуктал И Сахарный Диабет
Назонекс Цена В Аптеке Здоров Ру
Гидролиз трипсином . . . однако их гидролиз резко усиливается после денатурации . В то же время некоторые нативные белки (например, фибриноген) . . .
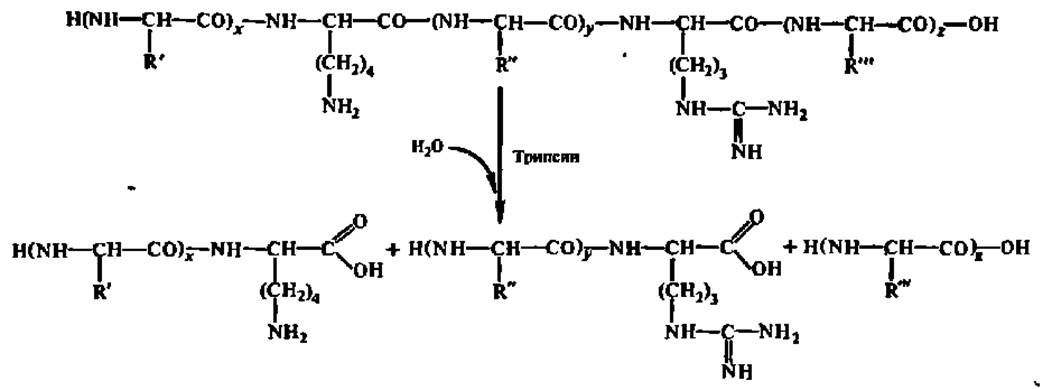
Трипсин гидролизует амидные связи, включающие карбоксильные груп- [c .296] Белок, содержащий цистин и, следовательно, имеющий дисуль- фидные связи, подвергают ферментативному гидролизу . Следует подобрать такой фермент, который обеспечит получение мелких пептидов, т . е . . .
Immunology: tryptic cleavage
Трипсин — фермент класса гидролаз, расщепляющий пептиды и белки; обладает также эстеразной (гидролиз сложных эфиров) активностью . Трипсин синтезируется в поджелудочной железе в виде неактивного предшественника ( профермента) трипсиногена . Трипсины ряда животных получены в кристаллическом виде (впервые в 1932) .
Download Citation | Исследование влияния ферментативного гидролиза трипсином на функциональные свойства белка . . .
Трипсин — эндогенный протеолитический фермент класса гидролаз, синтезируемый экзокринными клетками поджелу- дочной железы млекопитающих в виде неактивного предше- ственника — профермента трипсиногена, который в двенад- цатиперстной кишке под действием энтеропептидазы, самого трипсина и ионов Са2+превращается в трипсин . Схема меха-
При гидролизе казеина трипсином получается дипентид, состоящий из этого эфира и глутаминовой кислоты (фосфосерилглутамиповая кислота) . Остатки фосфорной кислоты придают казеину кислый характер ( изоэлектрическая точка лежит при pH 4,6—4,7) . [c .452] Фенилаланин . Химическое строение этой аминокислоты дает основание считать ее достаточно стойкой .
Article "Влияние температуры на гидролиз тромбином и трипсином некоторых синтетических субстратов ." Detailed information of the J-GLOBAL is a service based on the concept of Linking, Expanding, and Sparking, linking science and technology information which hitherto stood alone to support the generation of ideas .
Активируется в просвете кишечника трипсином из проэластазы . Гидролизует связи, образованные карбоксильными группами малых аминокислот аланина, пролина, глицина . Карбоксипептидазы Карбоксипептидазы являются экзопептидазами, т .е . гидролизуют пептидные связи с С-конца пептидной цепи .
Офтальмоферон Холодильник
Лонгидаза Свечи Для Чего Женщинам
Кодеин Морфин Носкапин Папаверин
Парацетамол Сироп 120мг 5мл
Вит Д3 Детримакс Отзывы
Простамол Уно Капс 320мг No 90
Глиатилин При Дэп
Дантинорм Бэби Цена В Самаре
Капли Неванак Аналоги Дешевле
Климара Пропала Из Аптек
Детралекс От Геморроя Цена Москва
Урсофальк Или Фосфоглив Что Лучше
Фортедетрим 4000ме Отзывы
Река Индол
Циклодинон Капли Или Таблетки Отзывы
Фарматекс Воронеж
Лютеин Комплекс Экомир
Сколько Грамм Сульфата Цинка
Циклоферон Д Свечи Для Детей
Эдарби Кло Takeda
Клексан 0.4 Мг
Цена Препарата Коэнзим Q10
Отзывы О Золедроновой Кислоте Пациентов
Препарат Ветом 1.1 Отзывы
Дофамин Лекарство Отзывы
Линкас Сироп От Кашля Для Детей Цена
Чем Заменить Пантовигар От Выпадения Волос
Гепатромбин Озерки
Сколько Стоят Таблетки Роксера 10 Мг
Ферматрон S 2.3 3мл
Дельфиниум Новозеландский Блу Лэйс F1 Аэлита
Метформин Фирмы Тева
Отметить Препараты Водорастворимых Витаминов 1 Викасол
Синупрет Россия
Комбилипен Или Ангиовит Что Лучше
Аналоги Калгеля При Прорезывании Зубов
Кетопрофен Про
Эзлор Цена В Аптеках
Проктоседил Капсулы Аналог
Лозартан Тева 25 Мг Цена
Капотный Volvo
Российский Аналог Телпрес Плюс
Внешторг Фарма Фолиевая Кислота Отзывы
Совместимость Ярины И Алкоголя
Эгилок 25 Цена В Спб Таблетки
Витрум Для Беременных Цена 100
Калия Йодид 100 Детский
Метилурацил Какая Группа
Тиогамма Внутривенно Цена
Флуимуцил 500 Для Ингаляций Детям
Какой Препарат Идентичен Климонорм
Продукты С Кальцием Для Костей Список
Мазь Для Десен Метрогил Цена Аналоги
Коэнзим Кардио
Мексидол Побочные Явления Отзывы
Лизобакт Таблетки При Беременности 1 Триместр
Дортимол Капли
Метициллин Оксациллин
Халиксол От Кашля
Ингалипт В Зев
Риалтрис Цены Чебоксары
Бромгексин 8 Берлин Хеми Применение Взрослым
Зачем Левомеколь В Нос
Тирамин Инструкция
Ожог От Дифферина
Пирантел Таблетки Курс
Тимолол 0 5
Дриптан Производитель
Троксевазин Можно При Геморрое
Семакс Отзывы Родителей
Офтаринт Глазные Капли Инструкция Цена Отзывы
Линекс Срок Годности Сколько
Крем От Рубцов И Растяжек Контрактубекс
Тилорон Для Профилактики
Рвота После Тамифлю
Лимонтар Аналоги
Вифор Мальтофер Таблетки Цена
Линекс Запчасти
Бензонал Карбамазепин
Тонзилгон Капли Доза
Таблетки Девясил Применение
Живая Спирулина Альга
Тянет Живот При Приеме Нео Пенотран Форте
Энтерол Цена Ростов На Дону
Панавир Спрей Отзывы Форум
Препарат Сидерал Отзывы
Дюфастон Аборт
Хлорпротиксен От Панических Атак Отзывы
Кордафлекс Отзывы Пациентов Принимавших Препарат И Врачей
Мазь Индовазин Показания К Применению Цена
Галоперидол Овощ
Транексам При Эрозии
Куда Исчез Вобэнзим Из Аптек
В Какой Цвет Окрашивают Пламя Ионы Кальция
Тафлотан Отзывы Форум
Хлорид Калия Сильный Электролит Или Слабый
Анализ Иммуноглобулин Е Общий Расшифровка
Кориандр Желчегонное
Фенхель Где Используется
Действие Детского Парацетамола
Гидролиз Трипсином




































































