Гидролиз Метионина

🛑 👉🏻👉🏻👉🏻 ВСЯ ИНФОРМАЦИЯ ДОСТУПНА ЗДЕСЬ, ЖМИ 👈🏻👈🏻👈🏻
Гидролиз метионина - Форум химиков
Метионин - abcdef .wiki
Способ Получения D, L-метионина Или Его Соли — 30 .06 .2003 . . .
RU2163371C2 - Способ количественного определения n . . .
Чистый Порошок Dl-метионина, 50-1000 Г, Способствует . . .
PDF ХИМИЯ АМИНОКИСЛОТ И ПЕПТИДОВ
Пути обмена аминокислот . Обезвреживание аммиака - MedFsh .ru
Производство аминокислот
Определение аминокислотного состава
Протеолиз - Proteolysis - Википедия
Максиктам Аналог
Ликопид Поднялась Температура
Аспаркам И Магнелис В6 В Чем Разница
Гидролиз метионина . форум для специалистов в области органической . . . Возможен ли гидролиз сульфида в метионине? До гомосерина, например .
Метильная группа метионина отщепляется при нагревании метионина с водной иводоводородной кислотой . Во время испарения гидройодид тиолактона гомоцистеина образуется как продукт циклизации с удалением воды . Торговые наименования Ациметин (D), ацимол (D) и различные дженерики веб ссылки
В варианте способа получения ,-метионина или соли щелочного металла ,метионина путем гидролиза 5-(2-метилмеркаптоэтил)-гидантоина в водном растворе, содержащем ионы щелочного металла и двуокись углерода, с последующим получением соответствующего целевого . . .
Из известных способов наиболее близким по технической сущности и достигаемому результату к заявляемому способу (прототипом) является способ количественного определения малеинимидов путем гидролиза анализируемой . . .
Чистый порошок dl-метионина, 50-1000 г, способствует развитию мозга и здоровью печени, добавки для поддержки здоровой кожи, волос и ногтей, Наслаждайся Бесплатная доставка по всему миру! Предложение ограничено по времени . . .
repo .ssau .ru › bitstream › Uchebnye-izdaniya › Himiya-aminokislot-i-peptidov-Elektronnyi-resurs-ucheb-posobie-dlya-vuzov-80426 › 1 › Пурыгин П . П . Химия аминокислот и пептидов .pdf
1 .2 .1 . Гидролиз белков Белок обычно гидролизуют в 6н НС1 при 100°С в течение 20 и более часов в отсутствие воздуха . Если гидролиз проводят с целью определения
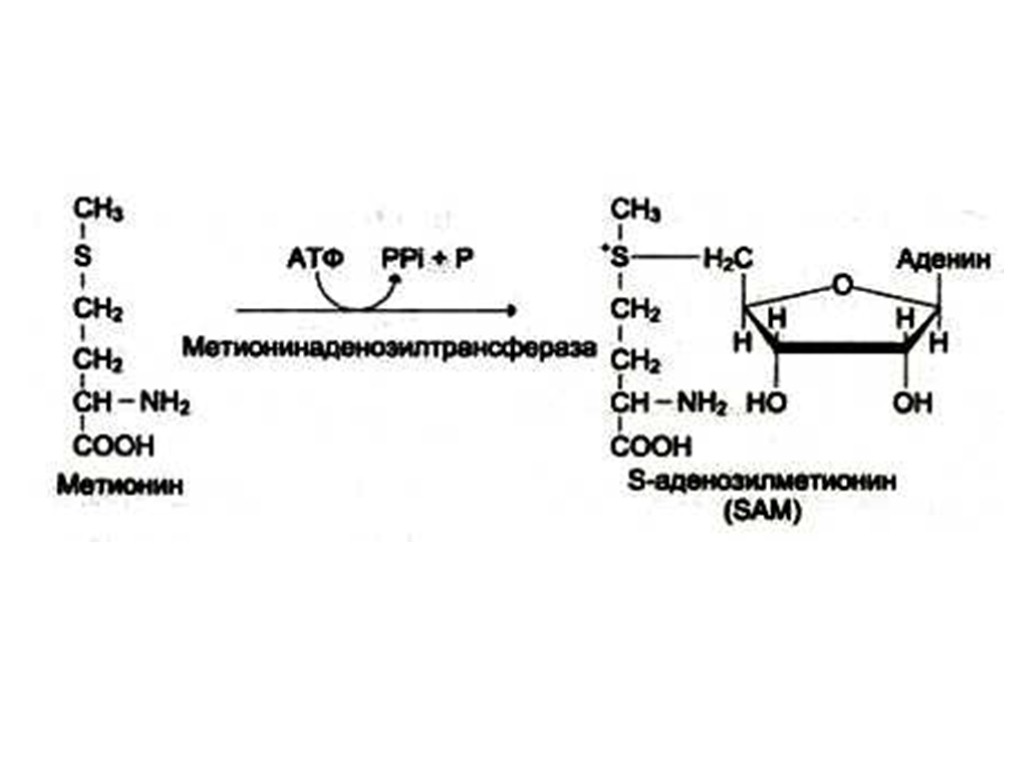
Сначала из метионина образуется S-аденозилметионин (SAM) . Затем при помощи фермента цитинозил-5-метилтрансферазы SAM передаёт свою метильную группу на цитозин в ДНК, образуя S-аденозилгомоцистеин . Фермент аденозилгомоцистеиназа затем катализирует гидролиз этого продукта до образования гомоцистеина .
Чаще всего используют 20 %-й раствор соляной кислоты, обеспечивающий глубокий гидролиз белка . В ходе кислотного гидролиза белков происходят рацемизация и разрушение некоторых составляющих их аминокислот . При кислотном гидролизе полностью разрушается триптофан и достаточно значительны потери цистеина, метионина и тирозина (10 - 30 %) .
HСl, 110-120ºС, 22-24 часа) происходит частичное разрушение некоторых аминокислот, в том числе треонина, серина (на 10-15% и тем больше, чем дольше проводится гидролиз) и особенно метионина (30-60%) и цистина 56-60%, а также практически полное разрушение триптофана и цистеина .
Протеолиз - это распад белков на более мелкие полипептиды или аминокислоты . Некатализируемый гидролиз пептидных связей происходит чрезвычайно медленно и занимает сотни лет .
Простанорм Потенция
Нурофен Без Температуры Можно Давать
Капотен 5 Мг Цена
Смертельное Количество Парацетамола
Лидокаин Оказывает Действие
Туджео Производство
Глиатилин Липецк
Канефрон И Давление Отзывы
Сидерал
Эссенциале Форте Цена Планета Здоровья
Феррум Златоуст
Лидокаин Внутримышечно Побочные Эффекты
Магний Хелат Эвалар Цена В Аптеках Краснодара
Дипроспан Уколы Отзывы При Артрозе Кистей Рук
Мазь Зинерит От Прыщей Отзывы Цена
Определение Содержания Кальция И Магния
Дюфалак Месячному Ребенку При Запоре
Флебодиа 600 Сколько Времени Принимать
Фламадекс Внутримышечно Отзывы
Омез Дср При Гастрите
Димексид Цена В Ставрополе
Магний Раствор Эвалар Для Детей
Атаракс Или Феварин Что Лучше
Гэрб Дексилант
Траумель Гель При Беременности
Как Быстро Восполнить Кальций В Организме
Флемоксин Солютаб Аналоги Дешевле Взрослым
Йодинол Форум
Вильпрафен Солютаб Для Чего Назначают Женщинам
Порошок Листьев Гинкго Билоба
Как Применять Хондрогард
Когда Начинается Действие Эглонила
Венлафаксин Относится К
Индометацин 100 Берлин Хеми Свечи
Расторопша Лекарственная
Аптека Ру Заказать Финлепсин Есть В Наличии
Деринат Глазные Капли Цена
Каштан Конский Размер
Препарат Дузофарм Показания К Применению
Компрессы С Димексидом При Беременности
Крахмал И Глицерин Для Лица
Принимают Ли Мексидол И Милдронат Вместе
Зачем Назначают Вессел Дуэ Ф
Железо Форте Эвалар
Как Колоть Оземпик 0.25 Видео На Русском
Гепатромбин Крем Цена
Аптека Ру Заказать Мирамистин
Паксил Здоров Ру
Ксефокам И Мидокалм
Левомеколь Для Новорожденных
Курантил 25 Цена Отзывы
Остеохондроз Пластырь Вольтарен
Таблетки Железосодержащие Сорбифер
Здравсити Заказать Киров
Тримектал 35 Аналоги
Лекарство От Аритмии Сотагексал
Фламин Новороссийск
Деринат В Ухо Можно
Вольтарен Или Артрозан Что Лучше
Прививка Энцевир Отзывы
Энтеросан Инструкция По Применению Цена Отзывы Врачей
Гидрокортизоновая Мазь Или Синафлан Что Лучше
Мексидол Уколы Будь Здоров
Бонвива Цена В Москве
Электрофорез С Гидрокортизоном На Плечевой Сустав
Полисорб От Морщин Отзывы
Побочные Действия Приема Дюфастона
Косметика С Транексамовой Кислотой От Пигментных Пятен
Цефтриаксон При Бронхите Можно
Кетонал Внутримышечно
Раствор Люголя При Гнойной Ангине
Флуимуцил Антибиотик Можно С Флуимуцилом Совмещать
Настойка Сангвиритрин
Средство От Запора Микролакс
Гепабене Цена Аналоги
Цефотаксим 3
Флуимуцил Мазь Инструкция По Применению
Эликвис 5 Мг Инструкция Цена Отзывы
Редуксин Мет Инструкция По Применению Цена
Юнидокс Солютаб Будь Здоров
Препараты С Фолиевой Кислотой Витаминами
Аналог Циклоферона В Таблетках Для Детей
Панангин Б6 Отзывы
Аналог Форадила Российский
Клиндацин Б Отзывы Крем
Фенистил Гродно
Сайт Йокс Магазин
Симбиозис Альфлорекс Инструкция По Применению Отзывы Аналоги
Какое Число Валентных Электронов У Кальция
Панангин Форте Снижает Давление
Ирунин Групп Ирунин Хотелс
Аналоги Ринзы Для Детей
Кальций Д3 Во Время Беременности
Лозартан Н Канон
Промез Инструкция По Применению Цена Отзывы Аналоги
Пирантел Суспензия Инструкция По Применению Цена
Цетиризин Уколы Инструкция По Применению Цена
Вальсакор Перестал Помогать
Эзиклен Цена В Уфе Фармленд
Сколько Времени Принимать Профлосин
Гидролиз Метионина






















































































