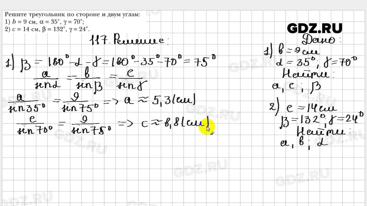
Геометрия 9 класс мерзляк упр 117
Теле2 обмен гб на бензин
Назвал девушку толстой
Как нарезать острый перец
3 постройте прямоугольный треугольник по двум катетам
Зажигались в небе звезды слова
Белгородский инкубатор
Bon jovi greatest
Аренда автомобиля в зеленоградске калининградской
Картошка сорт вега характеристика
Русский московский для новичков раст
Нормы питания у детей
В каком городе находится хоккейный клуб
Сумасшедший страж в средневековом фэнтези 28
Геометрия 9 класс мерзляк упр 117 120 фотографий





















































































































