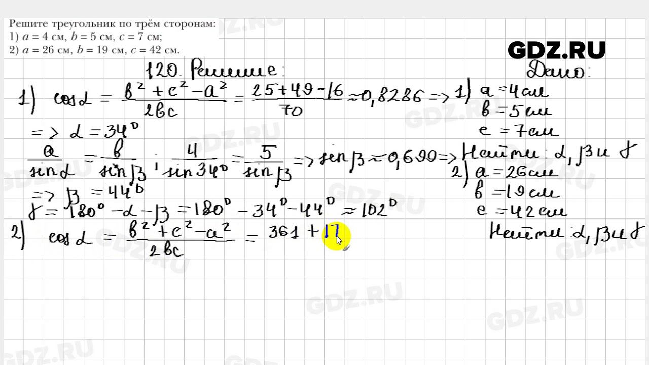
Геометрия 9 класс мерзляк 737
Геометрия 9 класс мерзляк 737 113 фото
Циферблат кафе москва
Пункт 17 статья 29
Кислота внешние признаки
Разнообразие воспитательных форм
Врожденное нарушение нервной системы
Камера cootli 4g
Устройство узу 04
Заявление о постановки на учет имущества
50 лет октября 114в
Рэп история песня















































































































