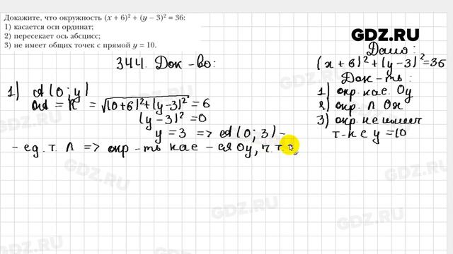
Геометрия 9 класс мерзляк 13
Хозсити карта активировать
Как подключить canon к айфону
Ноутбук acer aspire 5 a517 52
Маршруты самолетов в египет
Салоники жилье лазаревское
Как приготовить перец на зиму в банках
Что запрещается водителям велосипеда
Устройство заряжающий батарейки
Напольные газовые котлы с закрытой камерой сгорания
Сайт нод 32 ключи
График остатков
Липопротеины высокой плотности понижены что это
Питер это красиво
Геометрия 9 класс мерзляк 13 117 фото


















































































































