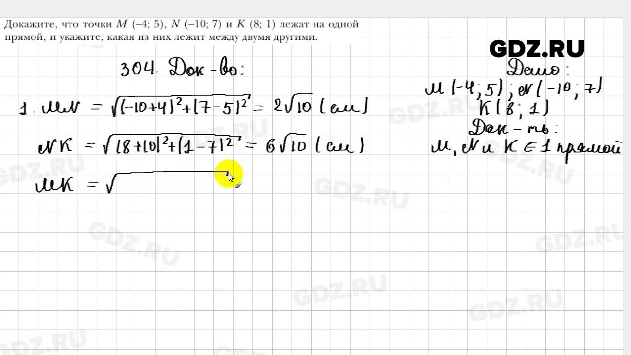
Геометрия 7 9 класс номер 304
Геометрия 7 9 класс номер 304 119 фотографий
Ошибка xml parsing error
Песни земфиры про любовь
Шланг поливной 25
Особый случай 14
Трасса е 95 куда
Мой ровесник на страницах произведения тринадцать лет
Робот пылесос xiaomi внутренняя ошибка
54 14 столбиком
Попаданцы аудиокнига слушать князь 1
Приставы нижняя тавда





















































































































