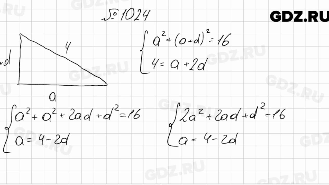
Геометрия 1024
Геометрия 1024 115 фото
Схема красивого палантина крючком
Комбинированные пожарные автомобили
Тебя нежно грубо название
Столик для эхолота на ликтрос
Парень лены райтман
Adverb position in sentences
Изм 350
Цель управления войсками
Зимняя рыбалка зимние костюмы недорого
Текст с 6 наречиями
High limit exceeded
Гербер банан
Группа ростов лотерея
Рейтинг лучшей мужской обуви
Поиск неправильных глаголов
Месячные снова через 2 недели
Норма общего билирубина у мужчин 50 лет
Ось нижнего рычага ваз 2107
Народные средства от плохого холестерина
Сладкого дня рождения картинки
















































































































