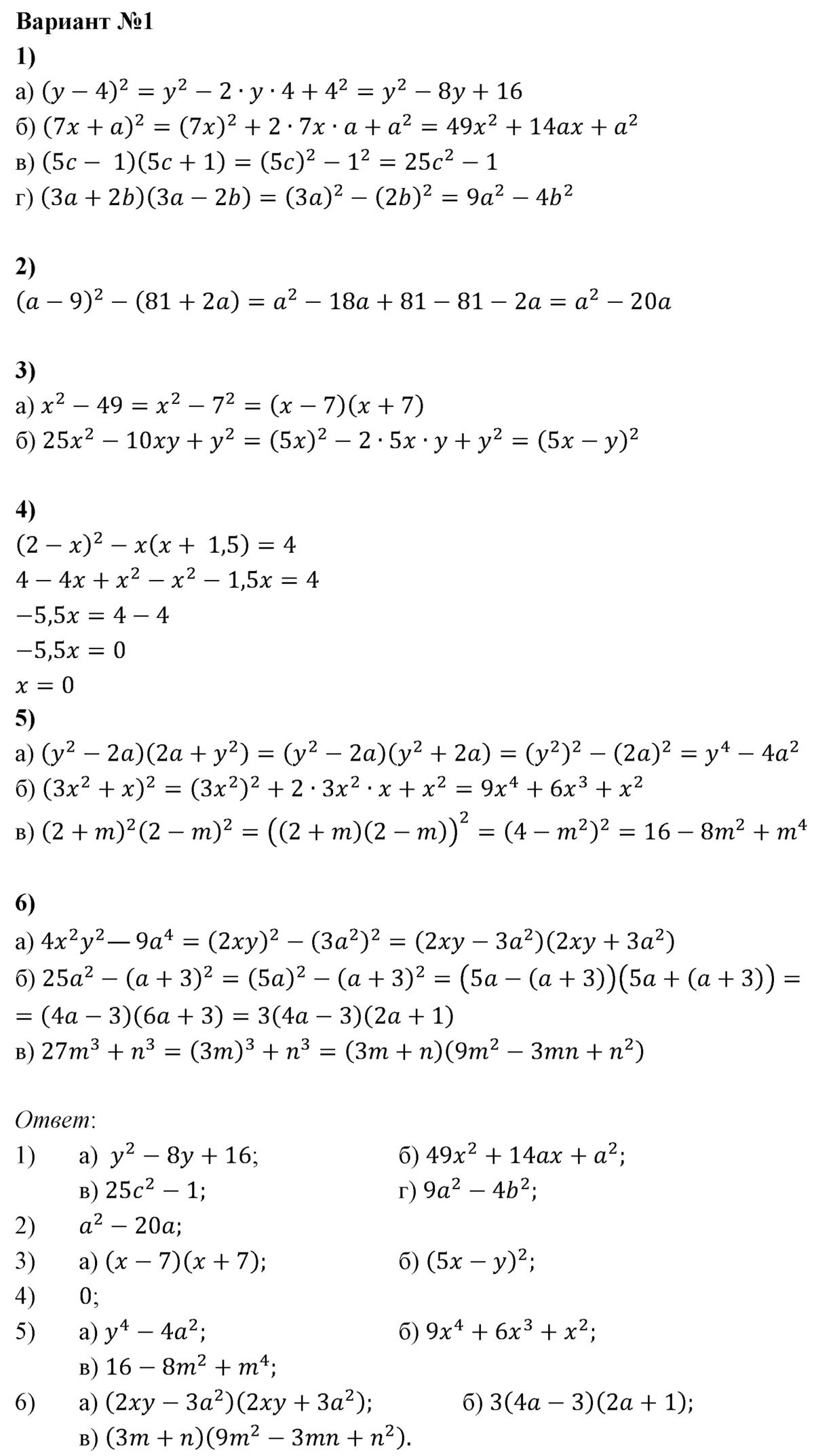
Гдз Звавич 7

Гдз Звавич 7
Гдз По Математике 6 Класс Виленкин Шварцбурд
Гдз По Математике Рабочая Часть
Гдз По Русскому 9 Класс Тростенцова Учебник
Баранов Ладыженская 7 Класс Учебник Гдз
Гдз 4 Класс 1 Часть Иванов
Гдз Геометрия 7 Класс Мерзляк Рабочая Тетрадь
Моро 3 Гдз
Гдз По Математике 5 Мерзляк Полонский
Математика Петерсон Гдз Бином
Гдз По Алгебре 8 Класс 2005 Год
Гдз По Математике 10 Класс Колягин Алимов
Решебник Моро 3 Класс 2 Часть
Моро 5 Класс Гдз Учебник
Гдз Русский 3 Евдокимова
Гдз Рабочая Русский 3 Класс Песняева
Решебник По Обществу Тетрадь
Гдз История 3 Класс
География 9 Класс Алексеев Гдз Учебник 2020
Гдз Окружающий Мир Третий Класс Плешаков
Гдз Новый Учебник
Гдз Русский Язык 9 Класс Мерзляк
Гдз По Английскому 5 Класс Рт Ваулина
Гдз По Окружающему Миру Тпо
Гдз По Англ Яз 9 Класс Старлайт
Решебник По Математика 2 Моро Волкова
Гдз По Математике 6 Класс 984
Гдз По Русскому Языку 11 Класс Вербицкая
Калинина Сольфеджио Рабочая Класс 2 Решебник
Решебник По Русскому Языку 3 Класс Плешаков
Гдз По Алгебре Макарычев 2001
Гдз По Биологии Тетрадь С Пчелой
Решебник По Физике 10 Класс Степанова
Решебник По Русскому 6 Лидман Орлова
Решебник Меркин 5 Класс
Решебник По Геометрии 10 Класс Анастасян
Решебник По Английскому 7 Класс Учебник Ваулина
Решебник Герасимов
Решебник Рымкевич 10 11 Класс Физика Гдз
Рамзаева 3 Класс Учебник Решебник
Гдз По Алгебре 8 Класс Номер 20
Гдз По Алгебре 9 Класс Макарычев 74
Решебник 6 Класс 2015
Решебник По Мордковичу 10 Класс
Дорофеева 5 Класс Учебник Итальянского Языка Гдз
Гдз Русский 5 Класс Ладыженская Упр 11
Гдз 10 Геометрия Стандарт Мерзляк
Гдз По Белорусскому Языку Шестой Класс Волочка
Решебник По Английскому 6 Вербицкая
Гдз 4 Класс В Н Рудницкая
Гдз Русский Разумовская 2010
Гдз По Математике 6 Класса Номер 5
Музыка 2 Класс Критская Тетрадь Гдз
Решебник По Истории 2 Часть Годер
Гдз Спотлайт Перевод
ГДЗ : готовые ответы по алгебре за 7 класс, решебник Звавич Л .И ., УМК, онлайн решения на GDZ .RU .
Тогда ГДЗ по алгебре 7 класс Звавич Дидактические материалы – отличная возможность исправить ситуацию и начать хорошо учиться . Там есть не только правильные ответы . .
Решебник (ГДЗ ) по Алгебре за 7 (седьмой) класс дидактические материалы авторы: Звавич Авторы: Л .И . Звавич, Л .В . Кузнецова, С .Б . Суворова . Издательство: Просвещение год .
Алгебра 7 класс . Дидактические материалы . Звавич, Кузнецова, Суворова . Так же в ГДЗ по алгебре 7 класс можно найти и подробные решения к олимпиадам по этому предмету .
ФГОС Звавич , Кузнецова Просвещение . ГДЗ дидактические материалы по алгебре 7 класс Звавич, Кузнецова Просвещение .
Решения с подробным объяснением и ГДЗ : Алгебра 7 класс Звавич, Кузнецова Тип: Дидактические материалы . Авторы: Звавич, Кузнецова . Издательство: Просвещение .
Чем поможет ГДЗ . Решебник к учебнику «Алгебра 7 класс Дидактические материалы Звавич, Кузнецова Просвещение» поможет решить любую задачу . Здесь собраны ответы на все . .
Л .И . Звавич, Л .В . Кузнецова, - 15е издание, "Просвещение" Наиболее полным и интересным методическим пособием является книга автора Звавич .
ГДЗ по дидактическому материалу 7 класс Звавич . ГДЗ по дидактическому материалу 7 класс звавич содержит подробные решения для самостоятельных и контрольных работ, даже . .
Дидактические материалы . Задания школьных олимпиад .
Обратившись к дидактическим материалам гдз по алгебре 7 Звавич , Вы получите подробные и развёрнутые ответы на все вопросы, связанные с решением домашних заданий . .
ГДЗ дидактические материалы Звавич 7 класс . Английский язык . New Millennium English . Главная задача сайта: помогать школьникам в решении домашнего задания .
Пособие содержит упражнения для самостоятельных работ, которые носят обучающий характер, а также тесты контрольных работ и задания для проведения школ .
В разаработке ГДЗ готовые домашние задания дидактическому материалу по алгебре 7 класс Звавич Кузнецова Суворова ФГОС от Путина .
Главная » Решебники, ГДЗ » ГДЗ - Дидактические материалы по алгебре . 7 класс - Звавич Л .И . cкачать в PDF . Пособие содержит выполненные задания из учебного издания «Алгебра .
Главная Учебники 7 класс Алгебра 7 класс Дидактические материалы Звавич, Кузнецова . Кроме того, в сборник включены задания для проведения внутришкольных математических . .
ГДЗ - Дидактические материалы по алгебре . 7 класс Авторы: Звавич Л .И . Издательство: 13-е изд ., перераб . и испр . - М .: Просвещение Год: , Страниц: 192 с .
Решебник ГДЗ Дидактические материалы по алгебре . 7 класс . Звавич Л .И ., Кузнецова Л .В . и др . «Решебник» содержит ответы ко всем заданиям и упражнениям из «Дидактических . .
Автор: Л .И . Звавич, Л .В . Кузнецова, С .Б . Суворова . Название: Дидактические материал по Читать онлайн: Да . Скачать бесплатно: Да . Формат книги: jpg . Размер книги/ГДЗ: 8,55 Мб .
ГДЗ по алгебре - онлайн или скачать, готовые домашние задания к учебнику автора Бевз . Звавич, Кузнецова, Суворова . 2003
ГДЗ : готовые ответы по алгебре за 7 класс, решебник Звавич Л .И ., УМК, онлайн решения на GDZ .RU .
Тогда ГДЗ по алгебре 7 класс Звавич Дидактические материалы – отличная возможность исправить ситуацию и начать хорошо учиться . Там есть не только правильные ответы . .
Решебник (ГДЗ ) по Алгебре за 7 (седьмой) класс дидактические материалы авторы: Звавич Авторы: Л .И . Звавич, Л .В . Кузнецова, С .Б . Суворова . Издательство: Просвещение год .
Алгебра 7 класс . Дидактические материалы . Звавич, Кузнецова, Суворова . Так же в ГДЗ по алгебре 7 класс можно найти и подробные решения к олимпиадам по этому предмету .
ФГОС Звавич , Кузнецова Просвещение . ГДЗ дидактические материалы по алгебре 7 класс Звавич, Кузнецова Просвещение .
Решения с подробным объяснением и ГДЗ : Алгебра 7 класс Звавич, Кузнецова Тип: Дидактические материалы . Авторы: Звавич, Кузнецова . Издательство: Просвещение .
Чем поможет ГДЗ . Решебник к учебнику «Алгебра 7 класс Дидактические материалы Звавич, Кузнецова Просвещение» поможет решить любую задачу . Здесь собраны ответы на все . .
Л .И . Звавич, Л .В . Кузнецова, - 15е издание, "Просвещение" Наиболее полным и интересным методическим пособием является книга автора Звавич .
ГДЗ по дидактическому материалу 7 класс Звавич . ГДЗ по дидактическому материалу 7 класс звавич содержит подробные решения для самостоятельных и контрольных работ, даже . .
Дидактические материалы . Задания школьных олимпиад .
Обратившись к дидактическим материалам гдз по алгебре 7 Звавич , Вы получите подробные и развёрнутые ответы на все вопросы, связанные с решением домашних заданий . .
ГДЗ дидактические материалы Звавич 7 класс . Английский язык . New Millennium English . Главная задача сайта: помогать школьникам в решении домашнего задания .
Пособие содержит упражнения для самостоятельных работ, которые носят обучающий характер, а также тесты контрольных работ и задания для проведения школ .
В разаработке ГДЗ готовые домашние задания дидактическому материалу по алгебре 7 класс Звавич Кузнецова Суворова ФГОС от Путина .
Главная » Решебники, ГДЗ » ГДЗ - Дидактические материалы по алгебре . 7 класс - Звавич Л .И . cкачать в PDF . Пособие содержит выполненные задания из учебного издания «Алгебра .
Главная Учебники 7 класс Алгебра 7 класс Дидактические материалы Звавич, Кузнецова . Кроме того, в сборник включены задания для проведения внутришкольных математических . .
ГДЗ - Дидактические материалы по алгебре . 7 класс Авторы: Звавич Л .И . Издательство: 13-е изд ., перераб . и испр . - М .: Просвещение Год: , Страниц: 192 с .
Решебник ГДЗ Дидактические материалы по алгебре . 7 класс . Звавич Л .И ., Кузнецова Л .В . и др . «Решебник» содержит ответы ко всем заданиям и упражнениям из «Дидактических . .
Автор: Л .И . Звавич, Л .В . Кузнецова, С .Б . Суворова . Название: Дидактические материал по Читать онлайн: Да . Скачать бесплатно: Да . Формат книги: jpg . Размер книги/ГДЗ: 8,55 Мб .
ГДЗ по алгебре - онлайн или скачать, готовые домашние задания к учебнику автора Бевз . Звавич, Кузнецова, Суворова . 2003


















