Гдз Ткачев 7 Класс

Гдз Ткачев 7 Класс
Гдз Русский Язык Класс Баранов Ладыженская
Готовые Домашние Задания Русскому Языку Класс
Гдз По Математике 6 Класс Мерзляк Мегарешеба
Гдз Математика 1 Волкова
География 7 Класс Рабочая Тетрадь Душина Гдз
Волкова Первый Класс Вторая Часть Гдз
Решебник По Алгебре 10 Класс 2013
Гдз Starlight 3 Workbook
Гдз По Мат 6кл Виленкин
Гдз По Физике 8 Фгос
Гдз По Физике 10 Класс Мякишев 2011
Гдз По Английскому Языку Миллениум 11 Класс
Гдз По Алгебре 7 Класс Атанасян
Гдз По Математике Шестой Класс Мерзляк Учебник
Гдз Русский Язык 7 Ладыженская 2013
Гдз По Русскому Языку Первая Часть
Гдз От Путина Шестой Класс
Гдз По Английскому Языку 8 Биболетова 2020
Гдз Математика Тетрадь 3 Класс Канакина
Скачать Гдз Английский 5 Класс
Гдз По Русскому Языку 2 Класс Стр
Решебник По Английскому 3 Класс Вербицкая
Гдз По Русскому Страница 100
Гдз По Алгебре 2
Решебник По Алгебре 11 Класс Атанасян
Гдз От Путина Моро 3 Класс
Гдз Русский Тихомирова 3 Класс
Гдз Английский Эванс Быкова 3 Класс
Геометрия 7 9 Класс Гдз Вопросы
Решебник По Математике 7 Класс Мерзляк 2020
Гдз По Русскому Кибирева
Гдз По Географии Учебник 5 6 Класс
Книга Решебник По Математике 4 Класс Купить
Гдз Азбука Ответы
Готовое Гдз 5 Класс
Гдз Математика 2 Часть Книга
Решебник По Физике 11 Класс Касьянов
Гдз Мордкович 10
Гдз 4кл Моро 2 Часть
Решебник 5 Класс Школа
Гдз По Математике 6 Класс Страница 12
Гдз По Английскому Языку 11 Алексеев
Решебник По Английскому Языку 6 Рабочая
Гдз По Алгебре Седьмой Класс Макарычев Миндюк
Гдз По Английскому 11 Класс Старков
Гдз По Русскому 11 2011
Гдз Математика Учебник Климанова
Гдз По Математике 6 Арифметика
Решебник Математика 2 Часть 2 Башмаков
Гдз По Окружающему Миру Демидова
Гдз 2 Кл Петерсон 1 Часть
Английский Комарова 9 Класс Гдз Учебник Бесплатно
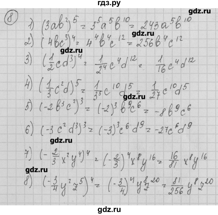
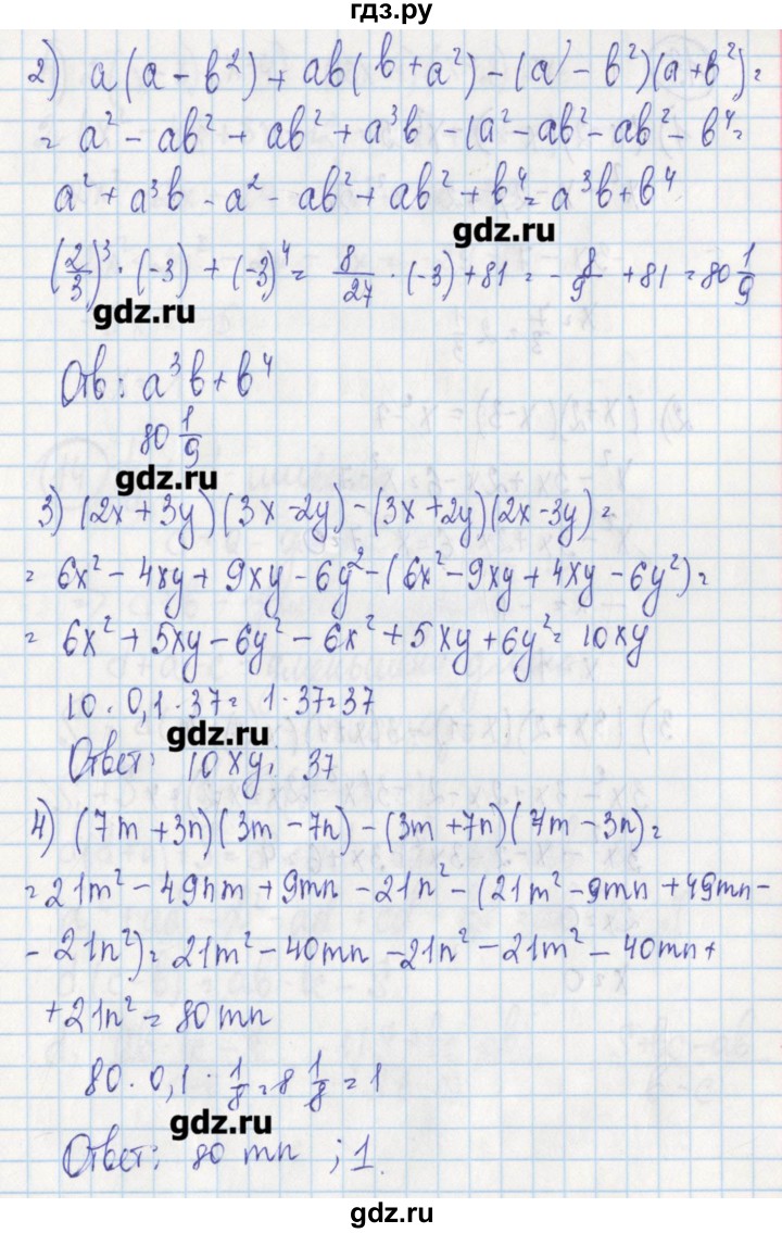
ГДЗ : готовые ответы по алгебре за 7 класс, решебник Колягин, ФГОС, онлайн решения на GDZ .RU . Авторы : Колягин Ю .М ., Ткачева М .В ., Федорова Н .Е ., Шабунин М .И . Издательство: Просвещение . Тип книги: Учебник .
ГДЗ алгебра 7 класс Колягин, Ткачева, Фёдорова Просвещение . Получить хорошие знания алгебре не столь и легко, так как предмет очень насыщен материалом, формулами, законами и т .п . Чтобы вникнуть во все, придется потратить массу времени, приложить много усилий .
ГДЗ по алгебре 7 класс Колягин Ю .М . Тип: Учебник . Авторы: Колягин Ю .М ., Ткачева М .В ., Федорова Н .Е ., Шабунин М .И . Издательство: Просвещение . В седьмом классе школьникам непросто, так как у них добавляются новые дисциплины, в основном, математические .
Упростить выполнение домашних заданий для школьников поможет онлайн-решебник по алгебре для 7 класса (авторы: Колягин Ю .М ., Ткачева М .В ., Федорова Кому будет полезной помощь ГДЗ по алгебре за 7 класс Колягин? Использовать решебник с равным успехом могут
Авторский ГДЗ Колягин Ткачева 7 класс построен так, чтобы ученик мог его использовать как во время занятия алгебры, так и при подготовке Авторы решебника серьезно подошли к его подготовке и включили дополнительные пояснения к заданиям, чтобы ученик не просто мо .
ГДЗ по Алгебре 7 класс авторов Колягин, Ткачева является хорошим пособием для изучения курса . Он соответствует всем требованием учебного стандарта . Учебный материал изложенный в нем, представлен в виде, доступном для понимания любого школьника . .
Алгебра 7 класс . Учебник . Колягин, Ткачева, Фёдорова . Просвещение . «ГДЗ по Алгебре 7 класс Колягин» подробно и доступно объясняет сложные примеры и задачи, содержит дополнительные задания, которые помогут систематизировать свои знания .
Стоит отметить, что у нас живет лучшее ГДЗ по алгебре 7 класс (Колягин, Ткачева) . Этот инновационный справочник был полностью создан к учебнику, поэтому школьники с легкостью найдут в нем нужные задачи . В этом им помогут темы в книге .
ГДЗ Колягин, Ткачева 7 класс . Решебник по Алгебре 7 класс , Колягин, Ткачева . М .: . - 319 с . Глава I . Алгебраические выражения .
ГДЗ по алгебре 7 класс , авторы: , Колягин Ю .М ., Ткачева М .В ., Федорова Н .Е ., Шабунин М .И ., Просвещение 2020-2021 год .
Избранное / Решебники (ГДЗ ) для школьников . Решебник к дидактическим материалам по алгебре для 7 класса Ткачевой М .В . ОНЛАЙН . Решение задач и упражнений из дидактических материалов по алгебре для 7 класса авторов М . В . Ткачёва, Н . Е . Фёдорова, М . И . Шабунин .
ГДЗ готовые домашние задания к рабочей тетради по алгебре 7 класс Колягин, Ткачева часть 1, 2 к учебнику Алимов ФГОС от Путина . Решебник (ответы на вопросы и задания) учебников и рабочих . .
Используем готовое домашнее задание верно . Причиной популярности нашего Vklasse нужно считать то, что он предлагает Среди таких надежных учебных книг и ГДЗ по алгебре 7 класс (Колягин, Федорова, Шабунин, Ткачева) . У нас совершенно не стоит переживать о его качестве .
7 класс (автор М . В . Ткачёва) . 11 . Далее следует перейти к изучению основного материа-ла параграфа . Читать еще . Требования к уровню подготовки по алгебре учащихся 7 класса В результате изучения курса алгебры в 7 классе учащиеся должны знать/понимать . .
В этом разделе представлены гдз и решебник по алгебре для 7 класса в соответствии с задачником автора Колягин . Колягин Ю .М . Ткачева М .В . и другие . гдз решебник алгебра 7 класс . учебник ответы готовые домашние задания .
ГДЗ к учебнику по алгебре за 7 класс Алимов, Колягин, Сидоров, Федоров онлайн . Трудности при работе с алгебраическими дробями? Не получается решать системы уравнений? Тогда ГДЗ по алгебре 7 класс Алимов поможет справиться с проблемами в учебе!
Листая учебное пособие влево-вправо, легко найти главы и параграфы с упражнениями (тестами, заданиями, задачами) .
ГДЗ по алгебре для 7 класса — Арефьева . Представленные здесь ГДЗ научат вас справляться с решением линейных неравенств и уравнений, задач на степени с натуральным и целым показателями, а также систем из двух линейных уравнений с двумя переменными .
Онлайн решебники по Алгебре для 7 класса , гдз и ответы к домашним заданиям . Да и на контрольных и самостоятельных работать ребенку будет гораздо проще справляться с заданиями, если дома он уже подготовился и решил несколько аналогичных примеров .
ГДЗ (домашнее задание ) по алгебре за 7 класс к учебнику Алимова, Колягина, Сидорова, Федорова . Пользоваться ГДЗ по алгебре 7 класс Алимов могут и родители . Отцам и матерям девятиклассников стоит использовать решебник, когда
ГДЗ : готовые ответы по алгебре за 7 класс, решебник Колягин, ФГОС, онлайн решения на GDZ .RU . Авторы : Колягин Ю .М ., Ткачева М .В ., Федорова Н .Е ., Шабунин М .И . Издательство: Просвещение . Тип книги: Учебник .
ГДЗ алгебра 7 класс Колягин, Ткачева, Фёдорова Просвещение . Получить хорошие знания алгебре не столь и легко, так как предмет очень насыщен материалом, формулами, законами и т .п . Чтобы вникнуть во все, придется потратить массу времени, приложить много усилий .
ГДЗ по алгебре 7 класс Колягин Ю .М . Тип: Учебник . Авторы: Колягин Ю .М ., Ткачева М .В ., Федорова Н .Е ., Шабунин М .И . Издательство: Просвещение . В седьмом классе школьникам непросто, так как у них добавляются новые дисциплины, в основном, математические .
Упростить выполнение домашних заданий для школьников поможет онлайн-решебник по алгебре для 7 класса (авторы: Колягин Ю .М ., Ткачева М .В ., Федорова Кому будет полезной помощь ГДЗ по алгебре за 7 класс Колягин? Использовать решебник с равным успехом могут
Авторский ГДЗ Колягин Ткачева 7 класс построен так, чтобы ученик мог его использовать как во время занятия алгебры, так и при подготовке Авторы решебника серьезно подошли к его подготовке и включили дополнительные пояснения к заданиям, чтобы ученик не просто мо .
ГДЗ по Алгебре 7 класс авторов Колягин, Ткачева является хорошим пособием для изучения курса . Он соответствует всем требованием учебного стандарта . Учебный материал изложенный в нем, представлен в виде, доступном для понимания любого школьника . .
Алгебра 7 класс . Учебник . Колягин, Ткачева, Фёдорова . Просвещение . «ГДЗ по Алгебре 7 класс Колягин» подробно и доступно объясняет сложные примеры и задачи, содержит дополнительные задания, которые помогут систематизировать свои знания .
Стоит отметить, что у нас живет лучшее ГДЗ по алгебре 7 класс (Колягин, Ткачева) . Этот инновационный справочник был полностью создан к учебнику, поэтому школьники с легкостью найдут в нем нужные задачи . В этом им помогут темы в книге .
ГДЗ Колягин, Ткачева 7 класс . Решебник по Алгебре 7 класс , Колягин, Ткачева . М .: . - 319 с . Глава I . Алгебраические выражения .
ГДЗ по алгебре 7 класс , авторы: , Колягин Ю .М ., Ткачева М .В ., Федорова Н .Е ., Шабунин М .И ., Просвещение 2020-2021 год .
Избранное / Решебники (ГДЗ ) для школьников . Решебник к дидактическим материалам по алгебре для 7 класса Ткачевой М .В . ОНЛАЙН . Решение задач и упражнений из дидактических материалов по алгебре для 7 класса авторов М . В . Ткачёва, Н . Е . Фёдорова, М . И . Шабунин .
ГДЗ готовые домашние задания к рабочей тетради по алгебре 7 класс Колягин, Ткачева часть 1, 2 к учебнику Алимов ФГОС от Путина . Решебник (ответы на вопросы и задания) учебников и рабочих . .
Используем готовое домашнее задание верно . Причиной популярности нашего Vklasse нужно считать то, что он предлагает Среди таких надежных учебных книг и ГДЗ по алгебре 7 класс (Колягин, Федорова, Шабунин, Ткачева) . У нас совершенно не стоит переживать о его качестве .
7 класс (автор М . В . Ткачёва) . 11 . Далее следует перейти к изучению основного материа-ла параграфа . Читать еще . Требования к уровню подготовки по алгебре учащихся 7 класса В результате изучения курса алгебры в 7 классе учащиеся должны знать/понимать . .
В этом разделе представлены гдз и решебник по алгебре для 7 класса в соответствии с задачником автора Колягин . Колягин Ю .М . Ткачева М .В . и другие . гдз решебник алгебра 7 класс . учебник ответы готовые домашние задания .
ГДЗ к учебнику по алгебре за 7 класс Алимов, Колягин, Сидоров, Федоров онлайн . Трудности при работе с алгебраическими дробями? Не получается решать системы уравнений? Тогда ГДЗ по алгебре 7 класс Алимов поможет справиться с проблемами в учебе!
Листая учебное пособие влево-вправо, легко найти главы и параграфы с упражнениями (тестами, заданиями, задачами) .
ГДЗ по алгебре для 7 класса — Арефьева . Представленные здесь ГДЗ научат вас справляться с решением линейных неравенств и уравнений, задач на степени с натуральным и целым показателями, а также систем из двух линейных уравнений с двумя переменными .
Онлайн решебники по Алгебре для 7 класса , гдз и ответы к домашним заданиям . Да и на контрольных и самостоятельных работать ребенку будет гораздо проще справляться с заданиями, если дома он уже подготовился и решил несколько аналогичных примеров .
ГДЗ (домашнее задание ) по алгебре за 7 класс к учебнику Алимова, Колягина, Сидорова, Федорова . Пользоваться ГДЗ по алгебре 7 класс Алимов могут и родители . Отцам и матерям девятиклассников стоит использовать решебник, когда



















