Гдз Потапов 7 Класс

Гдз Потапов 7 Класс
Гдз Математика Рудницкая 2 Часть
Готовые Домашние Задания Байкова
Гдз По Математике Учебник Якир 5
Гдз Разумовская Львова Капинос 7
Гдз По Русскому Языку Чуракова Байкова
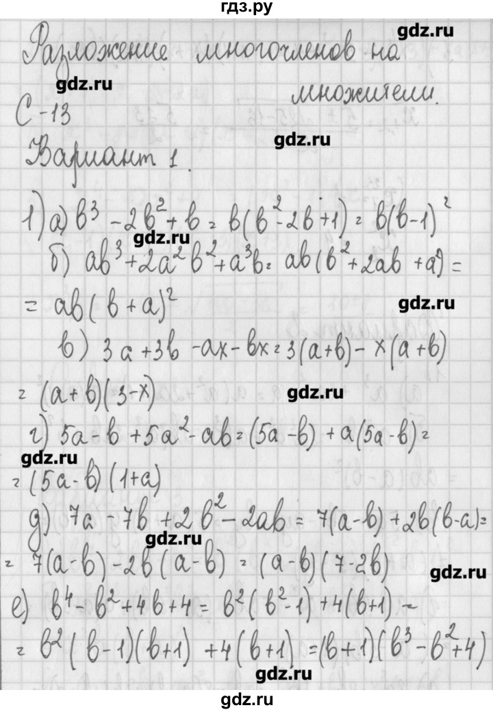
3 8 5 7 Гдз
Гдз Русский Язык 5 Класс Номер 3
3кл Математика Моро Учебник Гдз
Решебник По Анг 8 Класс Валиулин
Решебник 11 Класс
Михеева Английский 8 Класс Гдз Rainbow
Гдз По Математике Номер 1015
Решебник Демидовой 4 Класс
Гдз По Алгебре 7 Класс Анастасян Бутузов
Гдз Дорофеев Петерсон
Гдз По Русскому 3 Класс Ладыженская
Гдз Алгебра 9 2020
Ридер 4 Класс Решебник
Шклярова Сборник Упражнений 4 Класс Решебник
Решебник По Алгебре Пирютко
Канакина Русский 1 Класс Рабочая Решебник
Гдз По Алгебре 8 Класс Часть 2
Китайский Язык 5 Класс Сизова Гдз Учебник
Гдз По Физике 8 Еремин
Гдз Матем 6 Мерзляк Полонский
Гдз Англ Яз Starlight
Гдз По Английскому Языку 5 Класс Стандарт
Гдз По Математике Страница 13 Номер 41
Скачать Гдз По Русскому Языку 9 Класс
Решебник Алгебра 11 Класс Мордкович Профильный Уровень
Гдз По Рус Яз 6 Кл Баранов
Гдз По Географии 5 Класс Домогацких
Песняева Рабочая Тетрадь 2 Класс Решебник
Гдз По Алгебре 7 Класс Макарычев 21
Гдз По Русскому Языку Ф
Гдз Немецкий 10 11 Воронина Карелина
Решебник По Английскому Workbook 7
Гдз По Русскому 8 Класс Выявляяладынежская
Гдз По Географии 9 Класс Алексеев Низовцев
Гдз Английский Язык 6 Класс Верещагина
Гдз По Английскому Биболетова Фгос
Гдз По Английскому 11 Класс 2020
Гдз Татарский Язык 2 Класс Жамалетдинова Ответы
Гдз По Химии 11 Класс
Гдз По Русскому 1 Часть Иванов
Гдз 7 Класс Торкунов 2 Часть
Решебник По Русской Литературе 11 Класс
Гдз Мерзляк 6 Класс Математика Номер 20
Решебник Математика Гармония
Решебник 3 Класса Демидова Козлова Тонких
Геометрия 789 Класс Бутузов Гдз
Гдз По Физике 7 Класс Перышкин 789
Класс Русский Язык Учебник Решебник Виноградова
Решебник По Информатике 6
Гдз По Русскому 11 Класс Гольцова 2010
ГДЗ алгебра 7 класс Никольский, Потапов , Решетников Просвещение . Издательство «Просвещение» опубликовало ряд пособий, призванных помочь школьникам . Теперь материалы доступны онлайн . Решебник по алгебре для 7 -го класса к учебнику С .М . Никольского . .
Одним из таких гдз является решебник Никольского Потапова 7 класс , в котором собраны авторские ответы на задания учебника, которые включают в себя не только короткие отписки по заданию, но и качественный разбор каждого действия .
Никольский, Потапов . «Просвещение» . 2019 год . Как пользоваться ГДЗ к учебнику по алгебре 7 класс Никольский? Чтобы списать ответ, найдите в перечне вопросов номер заданного преподавателем упражнения и нажмите на него .
Решебник (ГДЗ ) по Алгебре за 7 (седьмой ) класс авторы: Никольский, Потапов, Решетников, Шевкин издательство Просвещение, год . Учебник для 7 класса по алгебре, разработанный методическим коллективом под руководством Никольского С .М ., содержит в . .
Решения с подробным объяснением и ГДЗ : Алгебра 7 класс Никольский, Потапов, Решетников - Учебник . Помимо этого, для такого рода занятий он может попробовать «ГДЗ по Алгебре 7 класс Никольский» . Этот сайт точно поможет ему стать умнее .
7 класс . ГДЗ по алгебре за 7 класс Никольский . Ответы к учебнику . Никольский, Потапов, Решетников . Просвещение, 2019 .
Готовые домашние задания – это эффективный элемент обучения для любого ребенка, в том числе и семиклассника . Сборники с ГДЗ выпускаются вдобавок ко многим книгам . Не лишен подобного пособия и учебник по алгебре за 7 класс Никольского С . М .
Алгебра 7 класс . Учебник . Никольский, Потапов, Решетников . Просвещение . Седьмой класс готовит учеников к более углубленному изучению алгебры . Так как данная дисциплина очень сложна, то и относиться к ней надо с повышенным вниманием .
Алгебра 7 класс С .М .Никольский, М .К .Потапов , Н .Н .Решетников, А .В .Шевкин . авторы: С .М .Никольский, М .К .Потапов, Н .Н .Решетников, А .В .Шевкин . ГДЗ - Готовые Домашние Задания .
Главная ГДЗ 7 класс алгебра Никольский, Потапов, Решетников . В таком случае на помощь приходят гдз по алгебре за 7 класс Никольского . В этом решебнике имеется все необходимое для самостоятельного овладения предметом: гарантированно правильные ответы . .
. .класс " Никольский, Потапов , Решетников сделает все аспекты более "прозрачными", поможет сократить время на домашнюю работу и лучше усваивать ГДЗ по алгебре 7 класс Никольский поможет школьникам приобрести необходимые познания . Реальная ли помощь от решебника .
Заходите, не пожалеете! Тут отличные гдз по алгебре для 7 класса , С .М . Никольский, М .К . Потапов, Н .Н . Решетников, А .В . Шевкин МГУ - школе от Путина . Верным помощником в этом будет онлайн-решебник по алгебре за 7 класс (авторы: С .М . Никольский, М .К . Потапов, Н .Н . .
МГУ-ШКОЛЕ Алгебра 7 класс ФГОС Учебник для общеобразовательных организаций Рекомендовано Министерством образования и науки 7 класс : учеб, для общеобразоват . организаций / А45 [С . М . Никольский, М . К . Потапов, Н, Н . Решетников, А . В . Шевкин] .
Решебник . Готовые Домашние Задания для 7 класса по Алгебре, Дидактические материалы . Потапов, Шевкин . 2019 .
Потапов М . К . П64 Алгебра . Методические рекомендации . 7 класс : учеб . пособие для общеобразоват . организаций / М . К . По -тапов, А . В . Шевкин . 7 класс : учебник для общеобразовательных учреждений/С .М .Никольский, М .К .Потапов, Н .Н .Решетников, А .В .Шевкин .
7 класс . Никольский С .М ., Потапов М .К ., Решетников Н .Н . и др . Твитнуть . Поделиться . Copyright © 2019-2028 Znayka .pro - Учебники, підручники, ГДЗ, решебники, ответы к рабочим тетрадям, відповіді в онлайн на телефоне Android, IPhone, планшете iPad .
Чтобы читать и смотреть Алгебра 7 класс Учебник Никольский Потапов, нажмите на нужные страницы . Смотри школьные учебники (не гдз) на образовательном ресурсе - Рабочая-тетрадь-и-учебник .ком . Книги ФГОС можно читать абсолютно бесплатно с любых электронных . .
ГДЗ . 7 класс » С . М . Никольского и др . Задания из рабочей тетради можно использовать на первоначальном этапе изучения и закрепления нового материала . Алгебра . Дидактические материалы . 7 класс . Потапов М .К ., Шевкин А .В .
Листая учебное пособие влево-вправо, легко найти главы и параграфы с упражнениями (тестами, заданиями, задачами) .
Учебник - Никольский С .М ., Потапов М .К . и др . cкачать в PDF . Учебник представляет собой новый тип учебника, который содержит материал, как для общеобразовательных классов , так и для классов с углубленным изучением математики .
ГДЗ алгебра 7 класс Никольский, Потапов , Решетников Просвещение . Издательство «Просвещение» опубликовало ряд пособий, призванных помочь школьникам . Теперь материалы доступны онлайн . Решебник по алгебре для 7 -го класса к учебнику С .М . Никольского . .
Одним из таких гдз является решебник Никольского Потапова 7 класс , в котором собраны авторские ответы на задания учебника, которые включают в себя не только короткие отписки по заданию, но и качественный разбор каждого действия .
Никольский, Потапов . «Просвещение» . 2019 год . Как пользоваться ГДЗ к учебнику по алгебре 7 класс Никольский? Чтобы списать ответ, найдите в перечне вопросов номер заданного преподавателем упражнения и нажмите на него .
Решебник (ГДЗ ) по Алгебре за 7 (седьмой ) класс авторы: Никольский, Потапов, Решетников, Шевкин издательство Просвещение, год . Учебник для 7 класса по алгебре, разработанный методическим коллективом под руководством Никольского С .М ., содержит в . .
Решения с подробным объяснением и ГДЗ : Алгебра 7 класс Никольский, Потапов, Решетников - Учебник . Помимо этого, для такого рода занятий он может попробовать «ГДЗ по Алгебре 7 класс Никольский» . Этот сайт точно поможет ему стать умнее .
7 класс . ГДЗ по алгебре за 7 класс Никольский . Ответы к учебнику . Никольский, Потапов, Решетников . Просвещение, 2019 .
Готовые домашние задания – это эффективный элемент обучения для любого ребенка, в том числе и семиклассника . Сборники с ГДЗ выпускаются вдобавок ко многим книгам . Не лишен подобного пособия и учебник по алгебре за 7 класс Никольского С . М .
Алгебра 7 класс . Учебник . Никольский, Потапов, Решетников . Просвещение . Седьмой класс готовит учеников к более углубленному изучению алгебры . Так как данная дисциплина очень сложна, то и относиться к ней надо с повышенным вниманием .
Алгебра 7 класс С .М .Никольский, М .К .Потапов , Н .Н .Решетников, А .В .Шевкин . авторы: С .М .Никольский, М .К .Потапов, Н .Н .Решетников, А .В .Шевкин . ГДЗ - Готовые Домашние Задания .
Главная ГДЗ 7 класс алгебра Никольский, Потапов, Решетников . В таком случае на помощь приходят гдз по алгебре за 7 класс Никольского . В этом решебнике имеется все необходимое для самостоятельного овладения предметом: гарантированно правильные ответы . .
. .класс " Никольский, Потапов , Решетников сделает все аспекты более "прозрачными", поможет сократить время на домашнюю работу и лучше усваивать ГДЗ по алгебре 7 класс Никольский поможет школьникам приобрести необходимые познания . Реальная ли помощь от решебника .
Заходите, не пожалеете! Тут отличные гдз по алгебре для 7 класса , С .М . Никольский, М .К . Потапов, Н .Н . Решетников, А .В . Шевкин МГУ - школе от Путина . Верным помощником в этом будет онлайн-решебник по алгебре за 7 класс (авторы: С .М . Никольский, М .К . Потапов, Н .Н . .
МГУ-ШКОЛЕ Алгебра 7 класс ФГОС Учебник для общеобразовательных организаций Рекомендовано Министерством образования и науки 7 класс : учеб, для общеобразоват . организаций / А45 [С . М . Никольский, М . К . Потапов, Н, Н . Решетников, А . В . Шевкин] .
Решебник . Готовые Домашние Задания для 7 класса по Алгебре, Дидактические материалы . Потапов, Шевкин . 2019 .
Потапов М . К . П64 Алгебра . Методические рекомендации . 7 класс : учеб . пособие для общеобразоват . организаций / М . К . По -тапов, А . В . Шевкин . 7 класс : учебник для общеобразовательных учреждений/С .М .Никольский, М .К .Потапов, Н .Н .Решетников, А .В .Шевкин .
7 класс . Никольский С .М ., Потапов М .К ., Решетников Н .Н . и др . Твитнуть . Поделиться . Copyright © 2019-2028 Znayka .pro - Учебники, підручники, ГДЗ, решебники, ответы к рабочим тетрадям, відповіді в онлайн на телефоне Android, IPhone, планшете iPad .
Чтобы читать и смотреть Алгебра 7 класс Учебник Никольский Потапов, нажмите на нужные страницы . Смотри школьные учебники (не гдз) на образовательном ресурсе - Рабочая-тетрадь-и-учебник .ком . Книги ФГОС можно читать абсолютно бесплатно с любых электронных . .
ГДЗ . 7 класс » С . М . Никольского и др . Задания из рабочей тетради можно использовать на первоначальном этапе изучения и закрепления нового материала . Алгебра . Дидактические материалы . 7 класс . Потапов М .К ., Шевкин А .В .
Листая учебное пособие влево-вправо, легко найти главы и параграфы с упражнениями (тестами, заданиями, задачами) .
Учебник - Никольский С .М ., Потапов М .К . и др . cкачать в PDF . Учебник представляет собой новый тип учебника, который содержит материал, как для общеобразовательных классов , так и для классов с углубленным изучением математики .



















