Гдз По Математике Материалы Мерзляк

Гдз По Математике Материалы Мерзляк
Решебник Климанова 4 Класс 1 Часть
Гдз Английский Язык Класс Вербицкая
3800 Задач Решебник
Гдз По Истории Нового Времени Класс
Физика 8 Класс Перышкин Гдз От Путина
Гдз 8 Класс Английский Ваулина Учебник Ответы
Гдз Русский Язык 2020 Год Ладыженская
Виргина Гдз 5 Класс Тетрадь
Математика 5 Класс Мерзляк Гдз Ответы 1
Математика 8 Класс Мордкович Учебник Гдз
Решебник Математика 4 Класс 1 Часть Учебник
Решебник Алгебра 7 Мерзляк Полонский Якир
Гдз По Обществознанию 7 Класс Митькин Учебник
Гдз Кузовлев 9 Класс 2020
Гдз По Английскому Ваулина Дули Подоляко
Решебник По Немецкому Языку 9 Класс 2020
Гдз Афанасьева 10 Класс Спотлайт
Гдз По Русскому 6 Класс Упр 19
Решебник По Англ Яз Ваулина
Гдз По Русскому 3 Класс 2
Гдз По Русскому Богдановой 8
Гдз По Английскому Языку 6кл Афанасьева Михеева
Решебник По Алгебре Восьмой Класс Дорофеев
Русский Язык 3 Соловейчик Учебник Гдз
Биболетова 11 Цикл 1 Гдз
Гдз Русский Пятый Класс Виленкин
Гдз По Англ Рабочая Тетрадь 9 Класс
Гдз Математика 2 Класс Школа России
Гдз По Русскому Автор Каленчук
Решебник Английский Язык 10 Класс Spotlight
Решебник По Географии 5 Класс Климанова Учебник
Гдз По Геометрии 7 Класс Якир
Гдз По Географии 9 Алексеев Николина
Решебник По Литературе Девятый Класс Коровина
Гдз По Английскому 9 Старлайт
Гдз По Русскому Языку 5 Зеленых
Гдз По Алгебре 7 Класс Теляково
Гдз Окружающий Мир Автор
Решебник По Геометрии 10 Класса Погорелова
Барашкова Четвертый Класс Вторая Часть Гдз
Решебник По Русскому Языку 7 Тростенцова
Гдз Афанасьева 10
Гдз По Английскому 3 Вербицкая Рабочая
Гдз По Русское Слово 7 Класс Ладыженская
Гдз География 7 Класс Рабочая Тетрадь Николина
Гдз По Английскому Языку 2 Класс Ваулина
Гдз Домашние Задания 2 Класс
Гдз Рудницкая 1 Класс
Музыка 7 Класс Науменко Гдз Учебник Ответы
Решебник По Литературное Чтение 2
Гдз По Чтению Контрольная
Гдз По Алгебре 10 2007
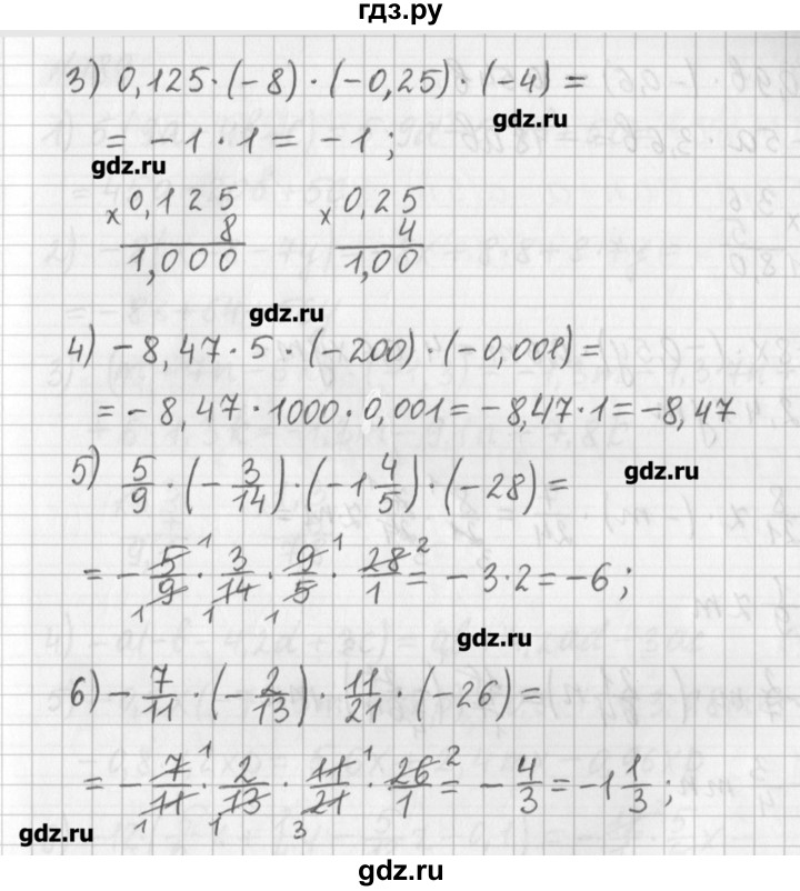
Решебник (ГДЗ ) по Математике за 6 (шестой) класс дидактические материалы авторы: Мерзляк, Полонский, Якир издательство Авторы: Мерзляк А .Г ., Полонский В .Б ., Якир М .С . Издательство: Вентана-граф 2019 год . Тип: Дидактические материалы, Алгоритм успеха .
Тут отличные гдз по математике дидактические материалы для 6 класса, Мерзляк А .Г ., Полонский В .Б ., Якир М .С . Алгоритм успеха от Путина . Часто ученики обращаются за помощью к ГДЗ по математике 6 класс дидактические материалы Мерзляк . Это связано с тем, что . .
Подробный разбор задач из дидактических материалов по математике за 6 класс Мерзляка , Полонского, Якир . Ответы из ГДЗ были проверены Ответы, решебник к дидактическим материалам . Мерзляк , Полонский, Якир - дидактические материалы . Вентана-Граф, 2019 .
«ГДЗ Математика 5 класс дидактические материалы Мерзляк , Полонский» содержит задания для основных разделов учебника Домашнюю работу проще сделать с онлайн-решебником по математике за 5 класс от Мерзляка . От того, насколько усердно ученик занимается дома . .
Онлайн-решебники по математике за 5 класс Мерзляк – готовые домашние задания, подробные решения и ответы, без регистрации При таком раскладе ГДЗ по математике для 5 класса Мерзляк становятся важным практическим дополнением, которое демонстрирует . .
Сборник ГДЗ по математике 5 класс Мерзляк представляет собой онлайн-решебник по данному УМК, выполненный согласно федеральным образовательным Здесь содержатся около 300 заданий по четырем вариантам, а также 10 контрольных работ для закрепления материала .
ГДЗ дидактические материалы по математике 6 класс Мерзляк, Полонский, Рабинович Вентана-Граф . Получив основы математических знаний в 5-м классе, шестиклассники вплотную переходят к изучению базовых принципов классической науки . Это позволит им в следующем . .
ГДЗ по математике дидактические материалы 6 класс Мерзляк – это не просто сборник готовыми домашними заданиями, это уникальное пособие, призванное помочь шестиклассникам в написании будущих контрольных и проверочных работ .
Если возникла потребность в ГДЗ по книге авторов Мерзляк, Якир, Полонский, то на этом специализированном онлайн-портале есть возможность найти ответы на Именно поэтому можно воспользоваться решебником разработанным для учебника по математике за 6 класс .
С помощью ГДЗ можно быстро объяснить решение любой задачи . ГДЗ поможет разобраться в тонкостях математических расчетов, если вы не понимаете, как применить усвоенный на уроке материал, который может Учебник Мерзляк для 6 класса разделен на несколько частей . .
Готовые домашние задания ГДЗ по представленному материалу позволяют изучить и закрепить основы математики, необходимые для дальнейшего изучения курса в старших классах, а также безошибочно выполнить предлагаемые задания .
ГДЗ по математике за 6 класс к дидактическому материалу Мерзляка . Необходимые для проверки знаний ребенка, тесты позволяют оценить объемы усвоенных школьниками сведений из образовательной программы . Подготовиться к ним дома помогают ГДЗ по математике 6 . .
ГДЗ по математике 5 класс (дидактические материалы ) Мерзляк , Якир, Полонский . авторы: Мерзляк А .Г ., Полонский В .Б ., Якир М .С . Методическое пособие станет незаменимо при самостоятельной подготовке к различным видам работ .
На merzlyak .net - размещены решения в виде гдз или решебника по математике , нимер, к учебнику автора Мерзляк для 5 класса и другим классам и предметам согласно фпу, рекомендованных к использованию при реализации программ общего образования .
гдз (решебники) в свободном доступе к учебникам, дидактическим материалам по математике , алгебре, геометрии Мерзляка А .Г ., Полонского В .Б ., Якира М .С . для 5,6,7,8,9,10,11 классов .
ГДЗ 5 класс Математика Мерзляк А .Г ., Полонский В .Б . дидактические материалы . Мерзляк А .Г ., Полонский В .Б . дидактические материалы . «Вентана-Граф», 2019 . Вариант 1 . (Страницы с 4 по 34) .
Математика 5 Контрольные Мерзляк - контрольные работы (цитаты) из пособия «Математика . Дидактические материалы . 5 класс ФГОС» (авт . А .Г . Мерзляк, В .Б . Полонский, Е .М . Рабинович, М .С . Якир, изд-во «Вентана-Граф»), а также РЕШЕНИЯ и ОТВЕТЫ .
ГДЗ дидактические материалы Мерзляк 5 класс . Автор: А .Г . Мерзляк, В .Б . Полонский, Е .М .Рабинович, М .С . Якир . Теперь на нашем сайте появился ГДЗ к дидактическому материалу Мерзляк 5 класс по математике .
ГДЗ по математике 5 класс Мерзляк будет полезно всем, кто учится в пятом классе . Девочкам, мальчикам, а также их мамам и папам . Довольно часто ребенок сталкивается с проблемой непонимания какого-то материала в школе . Такое происходит и в 5 классе, так как это лишь . .
Математика 5 Контрольные Мерзляк - контрольные работы (цитаты) из пособия «Математика . Дидактические материалы . 5 класс ФГОС» (авт . А .Г . Мерзляк, В .Б . Полонский, Е .М . Рабинович, М .С . Якир, изд-во «Вентана-Граф»), а также РЕШЕНИЯ и ОТВЕТЫ .
Решебник (ГДЗ ) по Математике за 6 (шестой) класс дидактические материалы авторы: Мерзляк, Полонский, Якир издательство Авторы: Мерзляк А .Г ., Полонский В .Б ., Якир М .С . Издательство: Вентана-граф 2019 год . Тип: Дидактические материалы, Алгоритм успеха .
Тут отличные гдз по математике дидактические материалы для 6 класса, Мерзляк А .Г ., Полонский В .Б ., Якир М .С . Алгоритм успеха от Путина . Часто ученики обращаются за помощью к ГДЗ по математике 6 класс дидактические материалы Мерзляк . Это связано с тем, что . .
Подробный разбор задач из дидактических материалов по математике за 6 класс Мерзляка , Полонского, Якир . Ответы из ГДЗ были проверены Ответы, решебник к дидактическим материалам . Мерзляк , Полонский, Якир - дидактические материалы . Вентана-Граф, 2019 .
«ГДЗ Математика 5 класс дидактические материалы Мерзляк , Полонский» содержит задания для основных разделов учебника Домашнюю работу проще сделать с онлайн-решебником по математике за 5 класс от Мерзляка . От того, насколько усердно ученик занимается дома . .
Онлайн-решебники по математике за 5 класс Мерзляк – готовые домашние задания, подробные решения и ответы, без регистрации При таком раскладе ГДЗ по математике для 5 класса Мерзляк становятся важным практическим дополнением, которое демонстрирует . .
Сборник ГДЗ по математике 5 класс Мерзляк представляет собой онлайн-решебник по данному УМК, выполненный согласно федеральным образовательным Здесь содержатся около 300 заданий по четырем вариантам, а также 10 контрольных работ для закрепления материала .
ГДЗ дидактические материалы по математике 6 класс Мерзляк, Полонский, Рабинович Вентана-Граф . Получив основы математических знаний в 5-м классе, шестиклассники вплотную переходят к изучению базовых принципов классической науки . Это позволит им в следующем . .
ГДЗ по математике дидактические материалы 6 класс Мерзляк – это не просто сборник готовыми домашними заданиями, это уникальное пособие, призванное помочь шестиклассникам в написании будущих контрольных и проверочных работ .
Если возникла потребность в ГДЗ по книге авторов Мерзляк, Якир, Полонский, то на этом специализированном онлайн-портале есть возможность найти ответы на Именно поэтому можно воспользоваться решебником разработанным для учебника по математике за 6 класс .
С помощью ГДЗ можно быстро объяснить решение любой задачи . ГДЗ поможет разобраться в тонкостях математических расчетов, если вы не понимаете, как применить усвоенный на уроке материал, который может Учебник Мерзляк для 6 класса разделен на несколько частей . .
Готовые домашние задания ГДЗ по представленному материалу позволяют изучить и закрепить основы математики, необходимые для дальнейшего изучения курса в старших классах, а также безошибочно выполнить предлагаемые задания .
ГДЗ по математике за 6 класс к дидактическому материалу Мерзляка . Необходимые для проверки знаний ребенка, тесты позволяют оценить объемы усвоенных школьниками сведений из образовательной программы . Подготовиться к ним дома помогают ГДЗ по математике 6 . .
ГДЗ по математике 5 класс (дидактические материалы ) Мерзляк , Якир, Полонский . авторы: Мерзляк А .Г ., Полонский В .Б ., Якир М .С . Методическое пособие станет незаменимо при самостоятельной подготовке к различным видам работ .
На merzlyak .net - размещены решения в виде гдз или решебника по математике , нимер, к учебнику автора Мерзляк для 5 класса и другим классам и предметам согласно фпу, рекомендованных к использованию при реализации программ общего образования .
гдз (решебники) в свободном доступе к учебникам, дидактическим материалам по математике , алгебре, геометрии Мерзляка А .Г ., Полонского В .Б ., Якира М .С . для 5,6,7,8,9,10,11 классов .
ГДЗ 5 класс Математика Мерзляк А .Г ., Полонский В .Б . дидактические материалы . Мерзляк А .Г ., Полонский В .Б . дидактические материалы . «Вентана-Граф», 2019 . Вариант 1 . (Страницы с 4 по 34) .
Математика 5 Контрольные Мерзляк - контрольные работы (цитаты) из пособия «Математика . Дидактические материалы . 5 класс ФГОС» (авт . А .Г . Мерзляк, В .Б . Полонский, Е .М . Рабинович, М .С . Якир, изд-во «Вентана-Граф»), а также РЕШЕНИЯ и ОТВЕТЫ .
ГДЗ дидактические материалы Мерзляк 5 класс . Автор: А .Г . Мерзляк, В .Б . Полонский, Е .М .Рабинович, М .С . Якир . Теперь на нашем сайте появился ГДЗ к дидактическому материалу Мерзляк 5 класс по математике .
ГДЗ по математике 5 класс Мерзляк будет полезно всем, кто учится в пятом классе . Девочкам, мальчикам, а также их мамам и папам . Довольно часто ребенок сталкивается с проблемой непонимания какого-то материала в школе . Такое происходит и в 5 классе, так как это лишь . .
Математика 5 Контрольные Мерзляк - контрольные работы (цитаты) из пособия «Математика . Дидактические материалы . 5 класс ФГОС» (авт . А .Г . Мерзляк, В .Б . Полонский, Е .М . Рабинович, М .С . Якир, изд-во «Вентана-Граф»), а также РЕШЕНИЯ и ОТВЕТЫ .



















