Гдз По Алгебре 8 Мерзляк

Гдз По Алгебре 8 Мерзляк
Решебник По Биологии 8 Учебник
Гдз По Русскому Е 3 Класс
Гдз По Русскому Страница 16
Решебник По Задачнику 8 Класса
Мать Пожалела Меня И Сказала Перекрестив Гдз
Гдз Биология Тетрадь 8
Гдз По 3 2 Петерсон
Гдз По Географии 9 Класс Баринова
Наглядная Геометрия 8 Класс Казаков Решебник
Гдз По Русскому 5 Зеленый Учебник
Английский Язык 9 Класс Virginia Evans Гдз
Гдз Голицынский 8 Издание С Переводом
Гдз По Биологии 6 Класс Тпо Пономарева
Гдз Алгебра 11 Потапов Шевкин
Решебник Задач По Физике Перышкин 8
Русский Язык 8 Класс Бунеев Гдз Учебник
Гдз Англ Яз 6 Класс Вербицкая Учебник
Гдз По Русскому 4 Класс Ртс
Гдз Тест Буклет 8 Класс Spotlight
Гдз Аверин 8 Класс
Гдз По Русскому 8 Класс Тростенцова Учебник
Гдз Впр Математика 2020 4 Класс
Гдз По Геометрии 7 Кл Атанасян
Гдз Номер 49 Математика 4 Класс
Решебник По Письму 1 Класс Рабочая Тетрадь
Английский Язык 5 Класс Старлайт Учебник Гдз
Гдз Тетрадь По Математике Перспектива
Гдз По Русскому 7 Упр 4
Решебник По Русскому 2 Класс 1часть Учебник
Гдз Матем 2 Кл Рабочая Тетрадь
Гдз Математика 3 Класс Страница 45
Гдз По Математике Рабочая Тетрадь Захарова
Решебник По Алгебре 11 Класс Беларусь
Гдз 7 Класс Информатика Босова Рабочая Тетрадь
Гдз Алгебра 9 Класс Кучер 2020
Гдз Алгебра 8 Класс Дорофеев Номер 12
Решебник По Химии 11 Габриелян Базовая
Гдз 4 Класс Автор Канакина
Гдз По Русскому Языку 2 Кл Иванов
Гдз По Английскому Гиа 7 Класс Ваулина
Гдз Математика Проверочная Тетрадь 2 Класс
Гдз Математика 6 Класс Мерзляк 2020 Год
Гдз По Литературному Чтению Вопрос
Happy English Ru 5 Класс Гдз Учебник
Гдз По Истории Загладин
Гдз По Химии 8 Класс Рудзитис 2014
Гдз Лидман 6
Готовое Домашнее Задание Рудницкая Математика 4 Класс
Гдз По Русскому 7 Класс 19
Гдз По Немецкому 6 Джин
ГДЗ алгебра 8 класс Мерзляк , Полонский, Якир Вентана-Граф . Алгебра – предмет, который дается далеко не всем . Теперь для эффективной подготовки к урокам и контролю знаний по алгебре достаточно использовать онлайн решебник .
ГДЗ : готовые ответы по алгебре за 8 класс, решебник Мерзляк, Алгоритм успеха ФГОС, онлайн решения на GDZ .RU . Авторы : А .Г . Мерзляк, В .Б . Полонский, М .С . Якир . Издательство: Вентана-граф 2019 . Серия: Алгоритм успеха . Тип книги: Учебник .
ГДЗ по алгебре для 8 класса Мерзляка – это онлайн-сборник готовых домашних заданий по задачам и примерам из учебника, составленного Для родителей – это способ контроля за успеваемостью их детей . Онлайн-решения от ГДЗ Путина по алгебре 8 класса к Мерзляка .
Решебник (ГДЗ ) по Алгебре за 8 (восьмой) класс авторы: Мерзляк, Полонский, Якир издательство Вентана-граф, 2019 год . Таким образом, можно сделать вывод, что учебно-методический комплекс по алгебре для 8 класса (авторы: А .Г . Мерзляк, В .Б . Полонский, М .С . .
В «ГДЗ по Алгебре 8 класс Учебник Мерзляк , Полонский, Якир Вентана-Граф» даны верные варианты ответов задач и подробно расписаны вопросы по темам учебника . Пособие строго структурировано согласно книге, задания следуют строго по номерам и названиям параграфов .
Одним из наиболее популярных по алгебре в 8 классе является учебник Мерзляк Полонский, поэтому востребованность всевозможных В обновленном решебнике ГДЗ Мерзляк Полонский 8 класс ответы были перепроверены специалистами и выложены для работы в режиме онлайн . .
В этом им поможет ГДЗ по алгебре за 8 класс Мерзляк . Этот ресурс знаком многим ученикам – решение заданий подглядывают С программой 8 класса поможет ГДЗ по алгебре 8 класс А . Г . Мерзляк . Алгоритм успеха . Данный учебно-методический комплекс был составлен командой . .
Решебники (ГДЗ ) для школьников . ГДЗ (решебник) к учебнику Мерзляк А .Г . и др . Алгебра 8 класс (углубленное изучение) ФГОС ОНЛАЙН . 01 .09 .201916 .03 .2020 . Домашняя работа по алгебре за 8 класс к учебнику авторов А .Г . Мерзляк, В .Б . Полонский, М .С . Якир .
Решебник (ГДЗ ) Алгебра 8 клас А .Г . Мерзляк, В .Б . Полонський, M .С . Якір (2019 рік) . Для того, чтобы удостоверится в выполненной вами домашней работе по алгебре и получить высокий балл в школе, ребятам потребуется помощь цифрового пособия .
ГДЗ по алгебре за 8 класс А .Г . Мерзляк - это просто . Алгебра - один из самых сложных предметов школьной программы . Именно благодаря алгебре школьники развивают навыки аналитического мышления, которые будут незаменимы при изучении всех остальных предметов .
8 класс - Мерзляк А .Г ., Полонский В .Б ., Якир М .С . cкачать в PDF . Учебник предназначен для изучения алгебры в 8 классе общеобразовательных учреждений . В нем предусмотрена уровневая дифференциация, позволяющая формировать у школьников познавательный . .
Алгебра – предмет важный и полезный, развивает мышление и логику школьников . При наличии большого количества учебников по алгебре не все они дают исчерпывающие знания по данному предмету . Поэтому Алгебра 8 класс Мерзляк, Полонский Якир 2008 г переведен на русский . .
О книге . Учебник предназначен для изучения алгебры в 8 классе общеобразовательных организаций . В нем предусмотрена уровневая дифференциация, позволяющая формировать у школьников познавательный интерес к алгебре .
«Алгебра . 8 класс» ГДЗ . Мерзляк А . Г ., Полонский В . Б ., Якира М . С . Відповіді до підручника з алгебри для 8 класу Мерзляк . Ответы к учебнику по алгебре для 8 класса Мерзляк .
Гдз и решебник Алгебра 8 класс Мерзляк, Полонский, Рабинович - Дидактические материалы . Алгебра – это раздел математики, который изучает общие свойства числовых систем и методы решения задач с помощью уравнений .
Польза ГДЗ по алгебре за 8 класс Мерзляка . В сборнике содержатся девятьсот тридцать восемь упражнений, шесть заданий для самопроверки, ответы к вопросам по двадцати трем параграфам и дополнительные номера для решения задач .
Авторы: Мерзляк А . Г ., Полонский В . Б ., Якир М . С . Сборник ГДЗ к учебнику по алгебре А . Г . Мерзляка поможет быстрее выполнять домашнюю работу, решать сложные примеры и научит мыслить нестандартно .
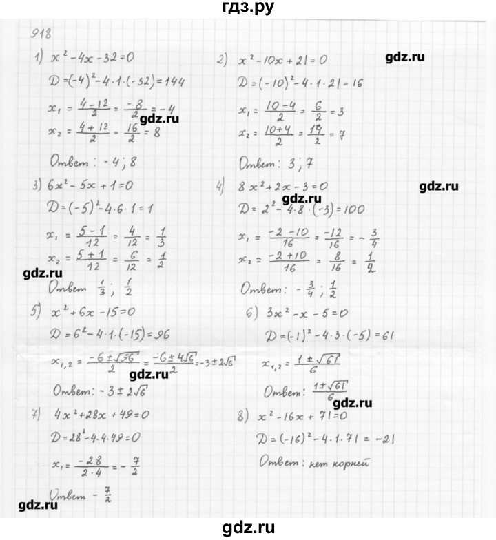
ГДЗ по алгебре для 8 класса соответствует учебнику авторского коллектива А .Г . Мерзляк, В .Б . Полонский, М .С . Якир . Упражнения следуют по порядку, друг за другом, единым блоком . Их 938 . Отсканированные страницы школьной тетради, заполненные вручную . .
ГДЗ gj алгебре Мерзляка А .Г ., Полонского В .Б ., Якира М .С . за 8 класс, решебник включает ответы к основным заданиям учебника . Чтобы материал усваивался легче, Мерзляк и соавторы поделили упражнения на простые и сложные, а также добавили рубрику с . .
. .перечень Мерзляк А .Г . М52 Алгебра : 8 класс : учебник для учащихся общеобразовательных учреждений / А .Г . Мерзляк, В .Б . Полонский, М .С . Якир . В ней собраны задачи, для решения которых нужны не специальные знания по алгебре, а лишь здравый смысл, изобретательность . .
ГДЗ алгебра 8 класс Мерзляк , Полонский, Якир Вентана-Граф . Алгебра – предмет, который дается далеко не всем . Теперь для эффективной подготовки к урокам и контролю знаний по алгебре достаточно использовать онлайн решебник .
ГДЗ : готовые ответы по алгебре за 8 класс, решебник Мерзляк, Алгоритм успеха ФГОС, онлайн решения на GDZ .RU . Авторы : А .Г . Мерзляк, В .Б . Полонский, М .С . Якир . Издательство: Вентана-граф 2019 . Серия: Алгоритм успеха . Тип книги: Учебник .
ГДЗ по алгебре для 8 класса Мерзляка – это онлайн-сборник готовых домашних заданий по задачам и примерам из учебника, составленного Для родителей – это способ контроля за успеваемостью их детей . Онлайн-решения от ГДЗ Путина по алгебре 8 класса к Мерзляка .
Решебник (ГДЗ ) по Алгебре за 8 (восьмой) класс авторы: Мерзляк, Полонский, Якир издательство Вентана-граф, 2019 год . Таким образом, можно сделать вывод, что учебно-методический комплекс по алгебре для 8 класса (авторы: А .Г . Мерзляк, В .Б . Полонский, М .С . .
В «ГДЗ по Алгебре 8 класс Учебник Мерзляк , Полонский, Якир Вентана-Граф» даны верные варианты ответов задач и подробно расписаны вопросы по темам учебника . Пособие строго структурировано согласно книге, задания следуют строго по номерам и названиям параграфов .
Одним из наиболее популярных по алгебре в 8 классе является учебник Мерзляк Полонский, поэтому востребованность всевозможных В обновленном решебнике ГДЗ Мерзляк Полонский 8 класс ответы были перепроверены специалистами и выложены для работы в режиме онлайн . .
В этом им поможет ГДЗ по алгебре за 8 класс Мерзляк . Этот ресурс знаком многим ученикам – решение заданий подглядывают С программой 8 класса поможет ГДЗ по алгебре 8 класс А . Г . Мерзляк . Алгоритм успеха . Данный учебно-методический комплекс был составлен командой . .
Решебники (ГДЗ ) для школьников . ГДЗ (решебник) к учебнику Мерзляк А .Г . и др . Алгебра 8 класс (углубленное изучение) ФГОС ОНЛАЙН . 01 .09 .201916 .03 .2020 . Домашняя работа по алгебре за 8 класс к учебнику авторов А .Г . Мерзляк, В .Б . Полонский, М .С . Якир .
Решебник (ГДЗ ) Алгебра 8 клас А .Г . Мерзляк, В .Б . Полонський, M .С . Якір (2019 рік) . Для того, чтобы удостоверится в выполненной вами домашней работе по алгебре и получить высокий балл в школе, ребятам потребуется помощь цифрового пособия .
ГДЗ по алгебре за 8 класс А .Г . Мерзляк - это просто . Алгебра - один из самых сложных предметов школьной программы . Именно благодаря алгебре школьники развивают навыки аналитического мышления, которые будут незаменимы при изучении всех остальных предметов .
8 класс - Мерзляк А .Г ., Полонский В .Б ., Якир М .С . cкачать в PDF . Учебник предназначен для изучения алгебры в 8 классе общеобразовательных учреждений . В нем предусмотрена уровневая дифференциация, позволяющая формировать у школьников познавательный . .
Алгебра – предмет важный и полезный, развивает мышление и логику школьников . При наличии большого количества учебников по алгебре не все они дают исчерпывающие знания по данному предмету . Поэтому Алгебра 8 класс Мерзляк, Полонский Якир 2008 г переведен на русский . .
О книге . Учебник предназначен для изучения алгебры в 8 классе общеобразовательных организаций . В нем предусмотрена уровневая дифференциация, позволяющая формировать у школьников познавательный интерес к алгебре .
«Алгебра . 8 класс» ГДЗ . Мерзляк А . Г ., Полонский В . Б ., Якира М . С . Відповіді до підручника з алгебри для 8 класу Мерзляк . Ответы к учебнику по алгебре для 8 класса Мерзляк .
Гдз и решебник Алгебра 8 класс Мерзляк, Полонский, Рабинович - Дидактические материалы . Алгебра – это раздел математики, который изучает общие свойства числовых систем и методы решения задач с помощью уравнений .
Польза ГДЗ по алгебре за 8 класс Мерзляка . В сборнике содержатся девятьсот тридцать восемь упражнений, шесть заданий для самопроверки, ответы к вопросам по двадцати трем параграфам и дополнительные номера для решения задач .
Авторы: Мерзляк А . Г ., Полонский В . Б ., Якир М . С . Сборник ГДЗ к учебнику по алгебре А . Г . Мерзляка поможет быстрее выполнять домашнюю работу, решать сложные примеры и научит мыслить нестандартно .
ГДЗ по алгебре для 8 класса соответствует учебнику авторского коллектива А .Г . Мерзляк, В .Б . Полонский, М .С . Якир . Упражнения следуют по порядку, друг за другом, единым блоком . Их 938 . Отсканированные страницы школьной тетради, заполненные вручную . .
ГДЗ gj алгебре Мерзляка А .Г ., Полонского В .Б ., Якира М .С . за 8 класс, решебник включает ответы к основным заданиям учебника . Чтобы материал усваивался легче, Мерзляк и соавторы поделили упражнения на простые и сложные, а также добавили рубрику с . .
. .перечень Мерзляк А .Г . М52 Алгебра : 8 класс : учебник для учащихся общеобразовательных учреждений / А .Г . Мерзляк, В .Б . Полонский, М .С . Якир . В ней собраны задачи, для решения которых нужны не специальные знания по алгебре, а лишь здравый смысл, изобретательность . .



















