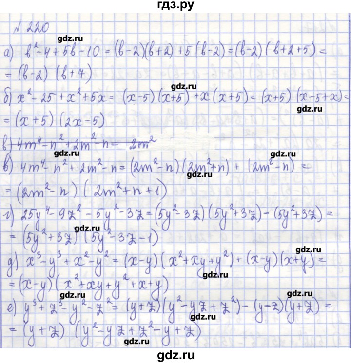
Гдз По Алгебре 7 Потапов

Гдз По Алгебре 7 Потапов
Гдз По Английскому Языку 9 Кузовлев Учебник
Петерсон 1 Класс Рабочая Решебник
Гдз По Математике 6 Класс Кузнецова
Гдз По Математике 5 Класс Жохов
Гдз Математика 2 Класс Учебник Дорофеев
Гдз Окр Мир Плешаков Крючкова
Готовые Домашние Задания 6 Класс Мерзляк
English 7 Гдз Афанасьева
Гдз Решебник Петерсон 4 2 Часть
Гдз По Англ Раб Тетр
Гдз По Математике Зубарева Ответы
Гдз По Физике Задачник 8 Класс Артеменков
Гдз По Биологии 8 Класс Учебник Каменский
Русский Язык 8 Класс Разумовская Гдз
Решебник Русский Баранов 7
Решебник 3 Истомина
Химия 8 Класс Гдз Рудзитис Вопросы
География 8 Класс Дронов Савельева Гдз
Решебник Математика Класс 2 Часть Николаева
Гдз Математика Виленкин Упражнение 30
Немецкий Язык 8 Класс Бим Гдз Переводы
Гдз Математика 4 Класс Стр 101
Гдз По Географии 6 Класс 2
Гдз По Starlight 8 Класс Students
Гдз Математика Стр 89
Русский Язык Рабочая Тетрадь Байкова Решебник
Гдз По Истории 5 Класс Майков
Гдз По Русскому Языку 9кл Шмелев
Рымкевич Решебник Задач 11 Класс
Решебник По Русскому 4 Желтовская Учебник Часть
Гдз 6 Класс 2020 Год Английский Язык
Решебник Тетради Информатики
Гдз По Математике 3 Рт
Математика Гдз Мерзляк Полонский Ответ
Гдз По Алгебре 9 Муравин Учебник
Гдз По Биологии 9 Класс Рабочая Пономарева
Гдз По Ино 7 Класс Spotlight Учебник
Онлайн Гдз Рабочая Тетрадь
English Workbook 7 Класс Решебник
Решебник По 8 Класс Никольский
Гдз Окружающий Мир 2 Виноградова Рабочая
Гдз По Русскому 4 Класс Узорова Нефедова
Гдз По Французскому 6 Класс Синяя
Гдз По Алгебре 8 Класса Мерзляк Полонский
Гдз Физика Хижняковой 7 Класс
Решебник По Физике 9 Класс Закирова
Решебник По Математике 3 Класс Гейдман
Решебник По Тетради Ерина 5 Класс
Гдз Матем 4 Кл Учебник
Решебник Русскому Языку 2020 Год
Решебник По Английскому Языку Верещагина 3 Класс
Гдз 12 Класс
Гдз 5 Класс Просвещение 2020
Гдз По Алгебре 10 Класс Мерзляк 1.10
Анастасян 10 Решебник
ГДЗ алгебра 7 класс Никольский, Потапов, Решетников Просвещение . Издательство «Просвещение» опубликовало ряд пособий, призванных помочь школьникам . Онлайн решебник – могущественный волшебник! ГДЗ по алгебре – необходимый элемент обучения!
Подробный разбор задач из учебника по алгебре за 7 класс Никольский, Потапов , Решетников . Смотрите гдз/решебники бесплатно . ГДЗ по алгебре за 7 класс Никольский . Ответы к учебнику .
Готовые домашние задания – это эффективный элемент обучения для любого ребенка, в том числе и семиклассника . Сборники с ГДЗ выпускаются вдобавок ко многим книгам . Не лишен подобного пособия и учебник по алгебре за 7 класс Никольского С . М .
Алгебра 7 класс . Учебник . Никольский, Потапов, Решетников . Просвещение . «ГДЗ по Алгебре 7 класс Никольский» станет незаменимым помощником каждого школьника . Самостоятельные и контрольные работы уже не будут представлять какой-либо сложности .
Решебник (ГДЗ ) по Алгебре за 7 (седьмой) класс авторы: Никольский, Потапов, Решетников, Шевкин издательство Просвещение, год . Авторы: С .М . Никольский, М .К . Потапов, Н .Н . Решетников, А .В . Шевкин . Издательство: Просвещение год .
Одним из таких гдз является решебник Никольского Потапова 7 класс, в котором собраны авторские ответы на задания учебника, которые включают в себя не только короткие отписки по заданию, но и качественный разбор каждого действия .
Никольский, Потапов . «Просвещение» . 2019 год . ГДЗ по алгебре 7 класс Никольский онлайн решебник к учебнику . Не хотите заать аттестат низкими оценками, но с легкостью даются только гуманитарные науки?
Решения с подробным объяснением и ГДЗ : Алгебра 7 класс Никольский, Потапов, Решетников - Учебник . Помимо этого, для такого рода занятий он может попробовать «ГДЗ по Алгебре 7 класс Никольский» . Этот сайт точно поможет ему стать умнее .
Самостоятельно изучать детям алгебру поможет ГДЗ по алгебре 7 класс, С .М . Никольский, МГУ – школе . Почему стоит выбрать онлайн-решебник по алгебре за 7 класс (авторы: Никольский С . М ., Потапов М . К ., Решетников Н . Н ., Шевкин А . В .)
Алгебра 7 класс С .М .Никольский, М .К .Потапов , Н .Н .Решетников, А .В .Шевкин . авторы: С .М .Никольский, М .К .Потапов, Н .Н .Решетников, А .В .Шевкин . ГДЗ - Готовые Домашние Задания .
В таком случае на помощь приходят гдз по алгебре за 7 класс Никольского . В этом решебнике имеется все необходимое для самостоятельного овладения Ученикам и их родителям важно понимать, что решебник по алгебре за 7 класс Никольского, Потапова может лишь помочь в . .
ГДЗ по алгебре 7 класс Никольский поможет школьникам приобрести необходимые познания . Реальная ли помощь от решебника . Получается своеобразный замкнутый круг, который поможет разорвать решебник к учебнику "Алгебра 7 класс" Никольский, где можно проследить . .
Алгебра – это один из древнейших разделов математики . Она изучает свойство действий над величинами и решение уравнений . На помощь в такой ситуации придёт «ГДЗ по Алгебре 7 класс Учебник Никольский, Потапов, Решетников (Просвещение)» .
Белорусские ГДЗ и Решебник за 7 класс по Алгебре поможет Вам найти верный ответ на самый сложный номер задания онлайн . ГДЗ Арефьева, Пирютко за 7 класс по Алгебре .
На этой странице Вы найдете онлайн ответы к учебнику по Алгебре для 7 класса Никольский С .М ., Потапов М .К . 5-е изд . - М .: 2005 . Независимо от успеваемости Вашего семиклассника, советуем Вам приобрести ГДЗ по Алгебре 7 класс под авторством Никольского .
Потапов М . К . П64 Алгебра . Методические рекомендации . Рабочая программа Алгебра , 7 класс . 1 вариант: 5 ч в неделю в 1 четверти, 3 ч в неделю во 2 - 4 четвертях, всего 120 ч . Программа: Программа для общеобразовательных учреждений .
Там расположены готовые домашние задания с цельными пояснениями к каждой задаче . Именно поэтому эта книжка так важна . ГДЗ к дидактическим материалам по алгебре за 7 класс Потапов М .К .
Решебник по Алгебре для 7 класса от авторов: С .М . Никольский, М .К . Потапов, Н .Н . Решетников – это пособие, которое Для настоящих скептиков будет полезно узнать об основных плюсах такой полезной книги, как ГДЗ по Алгебре С .М . Никольского, М .К . Потапова, Н .Н . Решетниковой
МГУ-ШКОЛЕ Алгебра 7 класс ФГОС Учебник для общеобразовательных организаций Рекомендовано Министерством образования и науки 7 класс : учеб, для общеобразоват . организаций / А45 [С . М . Никольский, М . К . Потапов, Н, Н . Решетников, А . В . Шевкин] .
7 класс . Никольский С .М ., Потапов М .К ., Решетников Н .Н . и др . Твитнуть . Поделиться . Содержание учебника позволяет дать учащимся хорошую подготовку по алгебре в объёме традиционной общеобразовательной программы или программы для классов с углублённым . .
ГДЗ алгебра 7 класс Никольский, Потапов, Решетников Просвещение . Издательство «Просвещение» опубликовало ряд пособий, призванных помочь школьникам . Онлайн решебник – могущественный волшебник! ГДЗ по алгебре – необходимый элемент обучения!
Подробный разбор задач из учебника по алгебре за 7 класс Никольский, Потапов , Решетников . Смотрите гдз/решебники бесплатно . ГДЗ по алгебре за 7 класс Никольский . Ответы к учебнику .
Готовые домашние задания – это эффективный элемент обучения для любого ребенка, в том числе и семиклассника . Сборники с ГДЗ выпускаются вдобавок ко многим книгам . Не лишен подобного пособия и учебник по алгебре за 7 класс Никольского С . М .
Алгебра 7 класс . Учебник . Никольский, Потапов, Решетников . Просвещение . «ГДЗ по Алгебре 7 класс Никольский» станет незаменимым помощником каждого школьника . Самостоятельные и контрольные работы уже не будут представлять какой-либо сложности .
Решебник (ГДЗ ) по Алгебре за 7 (седьмой) класс авторы: Никольский, Потапов, Решетников, Шевкин издательство Просвещение, год . Авторы: С .М . Никольский, М .К . Потапов, Н .Н . Решетников, А .В . Шевкин . Издательство: Просвещение год .
Одним из таких гдз является решебник Никольского Потапова 7 класс, в котором собраны авторские ответы на задания учебника, которые включают в себя не только короткие отписки по заданию, но и качественный разбор каждого действия .
Никольский, Потапов . «Просвещение» . 2019 год . ГДЗ по алгебре 7 класс Никольский онлайн решебник к учебнику . Не хотите заать аттестат низкими оценками, но с легкостью даются только гуманитарные науки?
Решения с подробным объяснением и ГДЗ : Алгебра 7 класс Никольский, Потапов, Решетников - Учебник . Помимо этого, для такого рода занятий он может попробовать «ГДЗ по Алгебре 7 класс Никольский» . Этот сайт точно поможет ему стать умнее .
Самостоятельно изучать детям алгебру поможет ГДЗ по алгебре 7 класс, С .М . Никольский, МГУ – школе . Почему стоит выбрать онлайн-решебник по алгебре за 7 класс (авторы: Никольский С . М ., Потапов М . К ., Решетников Н . Н ., Шевкин А . В .)
Алгебра 7 класс С .М .Никольский, М .К .Потапов , Н .Н .Решетников, А .В .Шевкин . авторы: С .М .Никольский, М .К .Потапов, Н .Н .Решетников, А .В .Шевкин . ГДЗ - Готовые Домашние Задания .
В таком случае на помощь приходят гдз по алгебре за 7 класс Никольского . В этом решебнике имеется все необходимое для самостоятельного овладения Ученикам и их родителям важно понимать, что решебник по алгебре за 7 класс Никольского, Потапова может лишь помочь в . .
ГДЗ по алгебре 7 класс Никольский поможет школьникам приобрести необходимые познания . Реальная ли помощь от решебника . Получается своеобразный замкнутый круг, который поможет разорвать решебник к учебнику "Алгебра 7 класс" Никольский, где можно проследить . .
Алгебра – это один из древнейших разделов математики . Она изучает свойство действий над величинами и решение уравнений . На помощь в такой ситуации придёт «ГДЗ по Алгебре 7 класс Учебник Никольский, Потапов, Решетников (Просвещение)» .
Белорусские ГДЗ и Решебник за 7 класс по Алгебре поможет Вам найти верный ответ на самый сложный номер задания онлайн . ГДЗ Арефьева, Пирютко за 7 класс по Алгебре .
На этой странице Вы найдете онлайн ответы к учебнику по Алгебре для 7 класса Никольский С .М ., Потапов М .К . 5-е изд . - М .: 2005 . Независимо от успеваемости Вашего семиклассника, советуем Вам приобрести ГДЗ по Алгебре 7 класс под авторством Никольского .
Потапов М . К . П64 Алгебра . Методические рекомендации . Рабочая программа Алгебра , 7 класс . 1 вариант: 5 ч в неделю в 1 четверти, 3 ч в неделю во 2 - 4 четвертях, всего 120 ч . Программа: Программа для общеобразовательных учреждений .
Там расположены готовые домашние задания с цельными пояснениями к каждой задаче . Именно поэтому эта книжка так важна . ГДЗ к дидактическим материалам по алгебре за 7 класс Потапов М .К .
Решебник по Алгебре для 7 класса от авторов: С .М . Никольский, М .К . Потапов, Н .Н . Решетников – это пособие, которое Для настоящих скептиков будет полезно узнать об основных плюсах такой полезной книги, как ГДЗ по Алгебре С .М . Никольского, М .К . Потапова, Н .Н . Решетниковой
МГУ-ШКОЛЕ Алгебра 7 класс ФГОС Учебник для общеобразовательных организаций Рекомендовано Министерством образования и науки 7 класс : учеб, для общеобразоват . организаций / А45 [С . М . Никольский, М . К . Потапов, Н, Н . Решетников, А . В . Шевкин] .
7 класс . Никольский С .М ., Потапов М .К ., Решетников Н .Н . и др . Твитнуть . Поделиться . Содержание учебника позволяет дать учащимся хорошую подготовку по алгебре в объёме традиционной общеобразовательной программы или программы для классов с углублённым . .



















