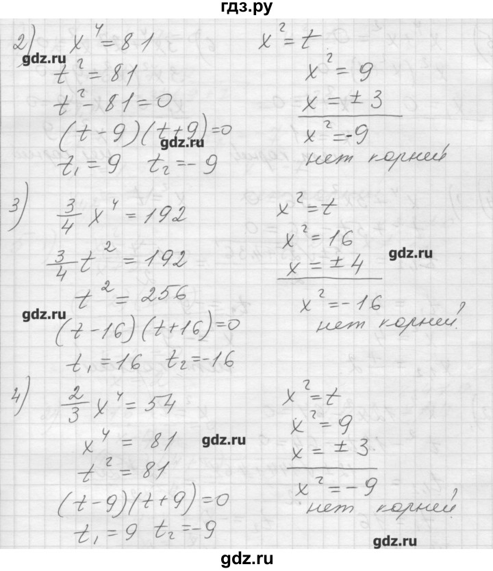
Гдз По Алгебре 2

Гдз По Алгебре 2
Рабочая Тетрадь 3 Класс 1 Часть Гдз
Решебник Чекин 4 Класс Часть 2
Решебник По Английскому Языку 6 Класс Спотлайт
Гдз Шестой Класс Автор Мерзляк
Гдз По Англ Яз 5 Класс Лапицкая
Гдз По Физике 9 Класс Беларусь
Гдз По Алгебре 2020 Год
Гдз По Алгебре 7 Номер 3
Гдз Русский Язык 2 Часть Нечаева
Гдз По Английскому Активити Бук 8
Гдз По Русскому Языку 3 Класс Вентана
Решебник По Русскому Тренажер 3 Класс
Решебник По Математике Рабочая Тетрадь Автор
Решебник По Белорусскому Языку 2 Часть
Budu5 Com Гдз Математика 2 Класс
Решебник Задач По Фото
Гдз По Экономике 11 Класс
Литературное Чтение 4 Класс 1 Часть Решебник
Гдз По Геометрии 8 Класс Шмелев
История России Загладин Гдз
Гдз Ладыженская Тростенцова Баранова
Гдз Русский 7 Шмелев Флоренская
Решебник По Русскому Языку 2014
Ю А Комарова 7 Класс Учебник Гдз
Гдз По Английскому 10 Класс Вербицкая Тетрадь
Гдз По Алгебре 7 Класс Мерзляк 2
Гдз История России Таблица
Кузнецова Гдз 3 Класс Пропись
Гдз По Русскому Языку 9 Класс Ударов
Гдз 10 Класс Алгебра Геометрия
Гдз Математика 6 Класс Онлайн
Гдз Ок Мир
Гдз По Английскому 4 Класс Форвард
Гдз По Русскому Языку Пятый Класс Практика
Гдз Сборник Геометрия 8 Класс
Гдз По Математике 11
Гдз По Русскому 10 Класс Львова 2020
Физика 8 Класс Самостоятельные Работы Гдз
Гдз Английский Язык 4 Вербицкая Рабочая
Решебник Рабочей Тетради Spotlight 8
Решебник По Математике 4 Класс Волков
Гдз По Английскому Языку 10 Биболетова 2020
Соловейчик 3 Класс Русский Язык Решебник Учебник
Гдз Начальная Школа 3 Класс
Гдз Окружающему Миру 3 Класс Данилов
Гдз Геометрия Сборник Задач Мерзляк
Решебник По Английскому 6 Михеева
Купить Гдз По Русскому Языку 5 Класс
Гдз По Английскому Афанасьевой 2 Класс
Гдз Бим Рабочая Тетрадь 10 Класс
Решебник По Алгебре Десятый Одиннадцатый Класс
ГДЗ (решебники) по алгебре . Алгебра 7 класс . Арефьева И . Г ., Пирютко О . Н . 2019 Алгебра 8 класс . Е .П . Кузнецова, Л .Г . Муравьёва, Л .Б . Шнеперман .
Подробный решебник с готовыми домашними заданиями по Алгебре к учебникам и рабочим тетрадям . Мегарешеба содержит все ГДЗ по новой школьной программе .
Алгебра является серьезным предметом, который является обязательным экзаменом для всех учащихся . ГДЗ нужны не только для того, чтобы узнать правильный ответ и быстро разобраться с домашним заданием .
Онлайн решебники по Алгебре для 1-11 класса, гдз и ответы к домашним заданиям .
ГДЗ : готовые домашние задания по Алгебра, решебник и ответы к учебникам, тетрадям онлайн на GDZ .ru .
Готовое домашние задание (решебник, гдз ) по алгебре . 7 класс . Часть 2 . Задачник для учащихся общеобразовательных учреждений Решебник задачника части 2 по алгебре 7 класс Мордкович . Курс алгебры за 7 класс отличается достаточной сложностью . В итоге не все дети . .
Онлайн решебник и ГДЗ по алгебре для 7-го класса к новому учебнику 2020 года, авторов Арефьева И . Г ., Пирютко О . Н . с Решеба по алгебре за 7 класс включает в себя несколько разделов, один из которых – блок для самостоятельной подготовки к грядущим контрольным . .
Готовые домашние задания по предметам → . ГДЗ по Алгебре .
Белорусские ГДЗ и Решебник за 7 класс по Алгебре поможет Вам найти верный ответ на самый сложный номер задания онлайн . Автор учебника: Арефьева И .Г ., Пирютко О .Н . от издательства Народная асвета 2019 .
Готовые домашние задания (ГДЗ ) по алгебре для 7-11 классов . Выбрать предмет .
Скачать гдз или решебник по алгебре в один клик .
ГДЗ по алгебре 7 класс , авторы: , Арефьева И .Г ., Пирютко О .Н ., Народная асвета 2020-2021 год . Глава 1 . Упражнения .
ГДЗ по алгебре - это что вы найдете здесь . Если Вы здесь именно за этим - тогда добро пожаловать . Потому что именно здесь получите ГДЗ по алгебре высшего качества: ответы видны хорошо; подробное описание решения каждого примера; прекрасная навигация с . .
ГДЗ (готовое домашние задание из решебника) на Задание № 5 .9 по учебнику Алгебра . 7 класс . Часть 2 . Задачник для учащихся общеобразовательных учреждений / А .Г . Мордкович и др . - 17-е издание .
- 10 изд . - М .:Мнемозина, 2008 Ю .Н . Макарычев 2007 «Алгебра: Учебник для 9 класса» Ю .Н . Макарычев и др . Решебники по другим предметам . ГДЗ по обществознанию ГДЗ по немецкому языку ГДЗ по английскому языку ГДЗ по русскому языку ГДЗ по геометрии ГДЗ по . .
ГДЗ (решебник) по алгебре за 7 класс - ответы онлайн . Математика не относится к творческим предметам, справиться с которыми можно при помощи интуиции . Здесь нужны твердые знания . В обычной школе времени на выполнение практических заданий по алгебре отводится немного .
Видеоуроки, тесты и тренажёры по предмету Алгебра за 7 класс по учебнику Мордкович А .Г . Алгебра 7 класс (Мордкович А .Г .) Закрыть учебник .
ГДЗ Готовые домашние задания по Алгебре . Алгебра Абылкасымова 10 класс Естественно-математическое навление . Авторы: Абылкасымова А .Е ., Жұмағұлова З .А ., Шойынбеков К .Д ., Корчевский В .Е .
Мало кто не знает учебник по алгебре Мордковича в 7 классе . Чтобы сохранять крепость духа, всегда лучше проверить свое домашнее задание по алгебре в решебнике или ГДЗ, если вы действительно хотите получить отличную оценку и перейти в 8 класс с оценкой отлично .
Готовые домашние задания (ГДЗ ) по Алгебре, решебники и ответы к учебникам читать онлайн, скачать бесплатно в электронном виде PDF . На данной странице образовательного портала России www .wordgdz .ru вы сможете найти ГДЗ Алгебра в электронном виде (формат . .
ГДЗ (решебники) по алгебре . Алгебра 7 класс . Арефьева И . Г ., Пирютко О . Н . 2019 Алгебра 8 класс . Е .П . Кузнецова, Л .Г . Муравьёва, Л .Б . Шнеперман .
Подробный решебник с готовыми домашними заданиями по Алгебре к учебникам и рабочим тетрадям . Мегарешеба содержит все ГДЗ по новой школьной программе .
Алгебра является серьезным предметом, который является обязательным экзаменом для всех учащихся . ГДЗ нужны не только для того, чтобы узнать правильный ответ и быстро разобраться с домашним заданием .
Онлайн решебники по Алгебре для 1-11 класса, гдз и ответы к домашним заданиям .
ГДЗ : готовые домашние задания по Алгебра, решебник и ответы к учебникам, тетрадям онлайн на GDZ .ru .
Готовое домашние задание (решебник, гдз ) по алгебре . 7 класс . Часть 2 . Задачник для учащихся общеобразовательных учреждений Решебник задачника части 2 по алгебре 7 класс Мордкович . Курс алгебры за 7 класс отличается достаточной сложностью . В итоге не все дети . .
Онлайн решебник и ГДЗ по алгебре для 7-го класса к новому учебнику 2020 года, авторов Арефьева И . Г ., Пирютко О . Н . с Решеба по алгебре за 7 класс включает в себя несколько разделов, один из которых – блок для самостоятельной подготовки к грядущим контрольным . .
Готовые домашние задания по предметам → . ГДЗ по Алгебре .
Белорусские ГДЗ и Решебник за 7 класс по Алгебре поможет Вам найти верный ответ на самый сложный номер задания онлайн . Автор учебника: Арефьева И .Г ., Пирютко О .Н . от издательства Народная асвета 2019 .
Готовые домашние задания (ГДЗ ) по алгебре для 7-11 классов . Выбрать предмет .
Скачать гдз или решебник по алгебре в один клик .
ГДЗ по алгебре 7 класс , авторы: , Арефьева И .Г ., Пирютко О .Н ., Народная асвета 2020-2021 год . Глава 1 . Упражнения .
ГДЗ по алгебре - это что вы найдете здесь . Если Вы здесь именно за этим - тогда добро пожаловать . Потому что именно здесь получите ГДЗ по алгебре высшего качества: ответы видны хорошо; подробное описание решения каждого примера; прекрасная навигация с . .
ГДЗ (готовое домашние задание из решебника) на Задание № 5 .9 по учебнику Алгебра . 7 класс . Часть 2 . Задачник для учащихся общеобразовательных учреждений / А .Г . Мордкович и др . - 17-е издание .
- 10 изд . - М .:Мнемозина, 2008 Ю .Н . Макарычев 2007 «Алгебра: Учебник для 9 класса» Ю .Н . Макарычев и др . Решебники по другим предметам . ГДЗ по обществознанию ГДЗ по немецкому языку ГДЗ по английскому языку ГДЗ по русскому языку ГДЗ по геометрии ГДЗ по . .
ГДЗ (решебник) по алгебре за 7 класс - ответы онлайн . Математика не относится к творческим предметам, справиться с которыми можно при помощи интуиции . Здесь нужны твердые знания . В обычной школе времени на выполнение практических заданий по алгебре отводится немного .
Видеоуроки, тесты и тренажёры по предмету Алгебра за 7 класс по учебнику Мордкович А .Г . Алгебра 7 класс (Мордкович А .Г .) Закрыть учебник .
ГДЗ Готовые домашние задания по Алгебре . Алгебра Абылкасымова 10 класс Естественно-математическое навление . Авторы: Абылкасымова А .Е ., Жұмағұлова З .А ., Шойынбеков К .Д ., Корчевский В .Е .
Мало кто не знает учебник по алгебре Мордковича в 7 классе . Чтобы сохранять крепость духа, всегда лучше проверить свое домашнее задание по алгебре в решебнике или ГДЗ, если вы действительно хотите получить отличную оценку и перейти в 8 класс с оценкой отлично .
Готовые домашние задания (ГДЗ ) по Алгебре, решебники и ответы к учебникам читать онлайн, скачать бесплатно в электронном виде PDF . На данной странице образовательного портала России www .wordgdz .ru вы сможете найти ГДЗ Алгебра в электронном виде (формат . .



















