Гдз Мерзляк 7 Класс Дидактические

Гдз Мерзляк 7 Класс Дидактические
Гдз Ответ Учебник Английский Язык Афанасьева
Гдз По Математике Часть Учебник Моро
Гдз Литература Курдюмова 2 Часть
Старлинг 7 Класс Учебник Гдз
Гдз Английский В Фокусе 4 Рабочая Тетрадь
Гдз Математика 2 Кл 1ч
Гдз По Алгебре 9 Класс От Путина
Гдз По Математике 6 Виленкин Рабочая
Русский Язык 4 Желтовская Гдз
Гдз Литературное Чтение Рабочая Тетрадь 1
Гдз По Немецкому Бим 1 Часть
Готовое Домашнее Задание Моро
Гдз По Матем 4 Класс Учебник Моро
Гдз По Русскому Языку 7 Клаас
Гдз Геометрия 9 11 Атанасян
Гдз По Алгебре 7 Класс Номер 1
Гдз Русский Язык 2класс 1часть Канакина
Гдз По Географии 1
Гдз По Информатике 6 Класс Автор Босова
Обществознание 9 Класс Кудина Чурзина Гдз Учебник
Гдз Афанасьева Третий Класс
Гдз А Ю Кузнецов Впр 6 Класс
Гдз По Математике 2 Рабочая Тетрадь Моро
Решебник По Алгебре 10 Класс Арефьева
Гдз Громцева Физика 10 11 Класс Ответы
Контурные Карты По Истории 8 Класс Гдз
Гдз Ответы Чуракова 4 Класс
Гдз По Английскому Языку 5 Класс Алексеев
Гдз По Математике Материалы Чесноков Нешков
Гдз По Английскому 5 Класса Баранов
Гдз По Английский 5 Форвард
Тетрадь Байкова 4 2 Часть Гдз
Скачать Гдз Русский Язык 1 Класс
Решебник Петерсон 4 Часть 3
Гдз По Русскому Языку 9 Максимов
Гдз 2 Класс Математика 67
Гдз По Англ Автор Вербицкая 9 Класс
Математика Часть 1 Рудницкая 3 Класс Гдз
Гдз Решебник 4 Класс Богданович
Скачать Бесплатно Гдз 6 Класса
Гдз 5 Мерзляк 1 Часть
Гдз По Немецкому Языку Зеленый Учебник
Гдз Матем Рабоч 2 Кл
Гдз Р Яз 5 Кл Ладыженская
Гдз По Немецкому Языку 7 Клааааааааасс
Гдз Дидактический Материал Алимов 10 Класс
Гдз По Обж 7 Класс
История 6 Класс Рабочая Тетрадь Петрова Гдз
Гдз Англ 1 Класс
Гдз Математика Стр 67
Гдз По Русскому 7 Класс Издательство Просвещение
Гдз По Биологии 7 Класс Латюшин Рт
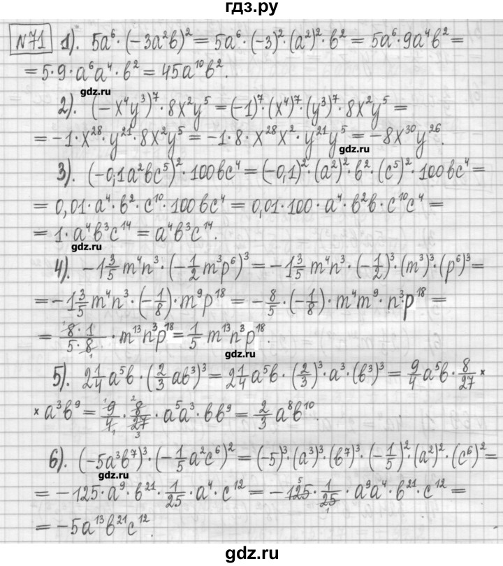
ГДЗ : готовые ответы по алгебре дидактические материалы за 7 класс , решебник Мерзляк, ФГОС, онлайн решения на GDZ .RU . Чем хороши ГДЗ к дидактическим материалам по алгебре для 7 класса (авторы: Мерзляк А . Г ., Полонский В . Б ., Рабинович Е . М ., Якир М . С . .
ГДЗ дидактические материалы по алгебре 7 класс Мерзляк , Полонский, Рабинович Вентана-Граф . Деление классической математики в 7 -м классе на курс алгебры и геометрии подразумевает использование специальных методик для изучения этих дисциплин в средней . .
В сборнике «ГДЗ по Алгебра 7 класс Дидактические материалы Мерзляк », как и в самом учебном пособии, две части . Задания из первой части (разделенной на три варианта) представляют собой тренировочные и самостоятельные задачи .
ГДЗ по алгебре за 7 класс к дидактическому материалу Мерзляка . Сейчас нет необходимости в услугах частного репетитора, ведь можно воспользоваться главой, где собраны гдз по алгебре 7 класс Мерзляк дидактический материал абсолютно бесплатно .
ГДЗ – помощник в учебе . Алгебра – новый предмет для 7 класса, поэтому не все ученики понимают его сразу же . Понять дисциплину и не упустить время поможет решебник к учебнику «Алгебра 7 класс Дидактические материалы Мерзляк, Полонский, Рабинович Вентана-Граф» .
Решебник (ГДЗ ) по Алгебре за 7 (седьмой ) класс дидактические материалы авторы: Мерзляк, Полонский, Рабинович, Якир издательство Тип: Дидактические материалы . С начала 7 класса математика в школе разделяется на две отдельные дисциплины - алгебру и геометрию .
ГДЗ к дидактическому материалу по алгебре 7 класс Мерзляка . Если у семиклассника вдруг появились трудности с изучением математики, ему может здорово помочь ГДЗ по алгебре 7 класс Мерзляк к дидактическим материалам .
Как найти ГДЗ к дидактическим материалам по алгебре для 7 класса Мерзляка . Сейчас многие педагоги работают с изданием Мерзляка Учеба с решебником к дидактическим материалам по алгебре для 7 класса (авторы: Мерзляк А . Г ., Полонский В . Б ., Рабинович Е . М ., Якир М . С .)
Домашняя работа по алгебре за 7 класс к дидактическим материалам авторов А .Г . Мерзляк, В .Б . Полонский, Е .М . Рабинович, М .С . Якир . В пособии решены и подробно разобраны задачи и упражнения из сборника «Мерзляк А .Г . Алгебра : дидактические материалы : 7 класс . .
ГДЗ 7 класс Алгебра Мерзляк , Полонский, Якир - Дидактические материалы . Ответы и решебник к учебнику . Мерзляк , Полонский, Якир - Дидактические материалы . Вентана-Граф, 2019 .
авторы: Мерзляк А .Г ., Полонский В .Б ., Рабинович Е .М ., Якир М .С . ГДЗ по алгебре 7 класс дидактические материалы Мерзляк помогает школьникам справляться с практическими заданиями по предмету . Математика – точная наука, имеющая множество нюансов .
Онлайн-решебники по алгебре за 7 класс Мерзляк А .Г . – готовые домашние задания, подробные решения и ответы, без регистрации, бесплатно, круглосуточно 7 класс . Учебник для учащихся общеобразовательных организаций / А .Г . Мерзляк, В .Б . Полонский, М .С . Якир .
Контрольные работы из пособия "Дидактические материалы по алгебре 7 класс ФГОС" (А .Г . Мерзляк и др), а также РЕШЕНИЯ . При постоянном использовании контрольных работ в 7 классе лучше всего купить книгу Алгебра 7 класс . Дидактические материалы .
Автор: А . Г . Мерзляк , В . Б . Полонский, Е . М . Рабинович Предмет (категория): Дидактические материалы по алгебре Класс : 7 Читать онлайн: Да Класс : 7 . Читать онлайн: Да . Скачать бесплатно: Да . Формат книги: jpg . Размер книги/ГДЗ: 6,67 Мб . Год публикации (выпуска): 2019 .
А .Г .Мерзляк »Алгебра 7 класс » . Методический комплект:Алгебра 7 .Самостоятельные и контрольные работы . Контрольно-измерительные материалы Алгебра: 7 класс : дидактические материалы: пособие для учащихся общеобразовательных учреждений / А .Г . .
Дидактические материалы содержит упражнения для самостоятельных и контрольных работ . Они используется в комплекте с учебником «Геометрия . 7 класс » (авт . А . Г . Мерзляк, В . Б . Полонский, М . С . Якир) системы «Алгоритм успеха» .
Мерзляк А .Г . Алгебра : дидактические материалы : 7 класс : пособие для учащихся общеобразовательных организаций / A .Г . Мерзляк , В .Б . Полонский, Е .М . Рабинович, М .С . Якир . — М ., 2019 . — 112 с . Дидактические материалы содержат упражнения для самостоятельных и . .
Контрольные работы из пособия "Дидактические материалы по алгебре 7 класс ФГОС" (А .Г . Мерзляк и др), а также РЕШЕНИЯ . 7 класс » (авт . А .Г . Мерзляк, В .Б . Полонский, М .С . Якир) . Представлены цитаты (материал контрольной работы) из вышеуказанного учебного пособия .
Ответы на контрольные работы из пособия "Дидактические материалы по алгебре 7 класс " Мерзляк и др . ОТВЕТЫ: АЛГЕБРА Контрольные работы 7 класс . Решения вопросов и задач из пособия для учащихся «Дидактические ГДЗ Рабочая тетрадь по английскому языку Spotlight .
Наш решебник с готовыми домашними заданиями ГДЗ поможет детям, даже не имеющим математических наклонностей в получении положительных оценок по предмету . Самопроверка станет залогом хорошей успеваемости в школе .
ГДЗ : готовые ответы по алгебре дидактические материалы за 7 класс , решебник Мерзляк, ФГОС, онлайн решения на GDZ .RU . Чем хороши ГДЗ к дидактическим материалам по алгебре для 7 класса (авторы: Мерзляк А . Г ., Полонский В . Б ., Рабинович Е . М ., Якир М . С . .
ГДЗ дидактические материалы по алгебре 7 класс Мерзляк , Полонский, Рабинович Вентана-Граф . Деление классической математики в 7 -м классе на курс алгебры и геометрии подразумевает использование специальных методик для изучения этих дисциплин в средней . .
В сборнике «ГДЗ по Алгебра 7 класс Дидактические материалы Мерзляк », как и в самом учебном пособии, две части . Задания из первой части (разделенной на три варианта) представляют собой тренировочные и самостоятельные задачи .
ГДЗ по алгебре за 7 класс к дидактическому материалу Мерзляка . Сейчас нет необходимости в услугах частного репетитора, ведь можно воспользоваться главой, где собраны гдз по алгебре 7 класс Мерзляк дидактический материал абсолютно бесплатно .
ГДЗ – помощник в учебе . Алгебра – новый предмет для 7 класса, поэтому не все ученики понимают его сразу же . Понять дисциплину и не упустить время поможет решебник к учебнику «Алгебра 7 класс Дидактические материалы Мерзляк, Полонский, Рабинович Вентана-Граф» .
Решебник (ГДЗ ) по Алгебре за 7 (седьмой ) класс дидактические материалы авторы: Мерзляк, Полонский, Рабинович, Якир издательство Тип: Дидактические материалы . С начала 7 класса математика в школе разделяется на две отдельные дисциплины - алгебру и геометрию .
ГДЗ к дидактическому материалу по алгебре 7 класс Мерзляка . Если у семиклассника вдруг появились трудности с изучением математики, ему может здорово помочь ГДЗ по алгебре 7 класс Мерзляк к дидактическим материалам .
Как найти ГДЗ к дидактическим материалам по алгебре для 7 класса Мерзляка . Сейчас многие педагоги работают с изданием Мерзляка Учеба с решебником к дидактическим материалам по алгебре для 7 класса (авторы: Мерзляк А . Г ., Полонский В . Б ., Рабинович Е . М ., Якир М . С .)
Домашняя работа по алгебре за 7 класс к дидактическим материалам авторов А .Г . Мерзляк, В .Б . Полонский, Е .М . Рабинович, М .С . Якир . В пособии решены и подробно разобраны задачи и упражнения из сборника «Мерзляк А .Г . Алгебра : дидактические материалы : 7 класс . .
ГДЗ 7 класс Алгебра Мерзляк , Полонский, Якир - Дидактические материалы . Ответы и решебник к учебнику . Мерзляк , Полонский, Якир - Дидактические материалы . Вентана-Граф, 2019 .
авторы: Мерзляк А .Г ., Полонский В .Б ., Рабинович Е .М ., Якир М .С . ГДЗ по алгебре 7 класс дидактические материалы Мерзляк помогает школьникам справляться с практическими заданиями по предмету . Математика – точная наука, имеющая множество нюансов .
Онлайн-решебники по алгебре за 7 класс Мерзляк А .Г . – готовые домашние задания, подробные решения и ответы, без регистрации, бесплатно, круглосуточно 7 класс . Учебник для учащихся общеобразовательных организаций / А .Г . Мерзляк, В .Б . Полонский, М .С . Якир .
Контрольные работы из пособия "Дидактические материалы по алгебре 7 класс ФГОС" (А .Г . Мерзляк и др), а также РЕШЕНИЯ . При постоянном использовании контрольных работ в 7 классе лучше всего купить книгу Алгебра 7 класс . Дидактические материалы .
Автор: А . Г . Мерзляк , В . Б . Полонский, Е . М . Рабинович Предмет (категория): Дидактические материалы по алгебре Класс : 7 Читать онлайн: Да Класс : 7 . Читать онлайн: Да . Скачать бесплатно: Да . Формат книги: jpg . Размер книги/ГДЗ: 6,67 Мб . Год публикации (выпуска): 2019 .
А .Г .Мерзляк »Алгебра 7 класс » . Методический комплект:Алгебра 7 .Самостоятельные и контрольные работы . Контрольно-измерительные материалы Алгебра: 7 класс : дидактические материалы: пособие для учащихся общеобразовательных учреждений / А .Г . .
Дидактические материалы содержит упражнения для самостоятельных и контрольных работ . Они используется в комплекте с учебником «Геометрия . 7 класс » (авт . А . Г . Мерзляк, В . Б . Полонский, М . С . Якир) системы «Алгоритм успеха» .
Мерзляк А .Г . Алгебра : дидактические материалы : 7 класс : пособие для учащихся общеобразовательных организаций / A .Г . Мерзляк , В .Б . Полонский, Е .М . Рабинович, М .С . Якир . — М ., 2019 . — 112 с . Дидактические материалы содержат упражнения для самостоятельных и . .
Контрольные работы из пособия "Дидактические материалы по алгебре 7 класс ФГОС" (А .Г . Мерзляк и др), а также РЕШЕНИЯ . 7 класс » (авт . А .Г . Мерзляк, В .Б . Полонский, М .С . Якир) . Представлены цитаты (материал контрольной работы) из вышеуказанного учебного пособия .
Ответы на контрольные работы из пособия "Дидактические материалы по алгебре 7 класс " Мерзляк и др . ОТВЕТЫ: АЛГЕБРА Контрольные работы 7 класс . Решения вопросов и задач из пособия для учащихся «Дидактические ГДЗ Рабочая тетрадь по английскому языку Spotlight .
Наш решебник с готовыми домашними заданиями ГДЗ поможет детям, даже не имеющим математических наклонностей в получении положительных оценок по предмету . Самопроверка станет залогом хорошей успеваемости в школе .



















