Гдз Мерзляк 7 Дидактический Материалы

Гдз Мерзляк 7 Дидактический Материалы
Гдз По Русскому 7 Класс Номер 5
Гдз Английский Язык 7 Класс Афанасьева Учебник
Скачать Готовые Домашние Задания
Гдз Математика 2 Класс Моро Стр 8
Гдз По Литературному Чтению Пятый Класс Учебник
Решебник По Обж 10 Класс Смирнов Хренников
Гдз По Русскому Языку 3 Класс 9
Гдз По Англ Яз 3 Сборник
Гдз Физика Упражнение 3
Решебник Гейдман 1 Класс Учебник
Гдз По Физике Сборник Задач Перышкин 2020
Спотлайт 5 Решебник Учебник
Гдз По Математике 5 Класс Никольский 1029
Гдз По Географии 7 Класс Дронов Учебник
Решебник По Математике 4 Рудницкая Рабочая
Гдз По Алгебре 7 Класс Тихонова Учебник
Гдз По Английскому Афанасьева Михеева 3 Класс
Гдз По Русскому Языку 3 Класс Рамзаев
Гдз От Путина Седьмой Класс
Гдз По Английскому 9 Класс Ь Биболетова
Гдз Английский 3 Спотлайт Тетрадь
Английский В Фокусе 6 Гдз Учебник
Гдз Starlight Шестой Класс
Гдз Обществознание 5 Класс Тетрадь Митькин
Гдз По Истории 9 Класс Русское Слово
Гдз По Истории России Арсеньев
Гдз Контурная Карта Пятый Класс
Гдз По Английскому Языку Михеева 6 Класс
Мордкович 8 Углубленный Гдз
Гдз По Английскому Учебник 4 Класс Быкова
Купить Решебник 5 Класс
Гдз Дидактические Материалы По Математике 5 Класс
Гдз Матем Раб Тет
Язык 3 Класс Бунеев Гдз
Гдз Решебник По 8 Класс
Гдз По Английскому 9 Класс Дворецкая Учебник
Общ 11 Класс Гдз
Гдз По Математике 5 Т
Гдз 7 Класс Информатика Босова Рабочая Тетрадь
Гдз По Математике 5 Класс 54 Номер
Гдз По Английскому 5 Класс Ваулина
Гдз 6 Класс Дорофеев Шарыгин
Гдз Английскому Языку 5 Класс Баранов
Гдз Аргинская 3 Класс Учебник
Решебник По Английскому Восьмой Класс Ваулина
М М Разумовская 6 Класс Решебник
Гдз По Истории России 7 Класс Иванов
Готовое Домашние Задания По Алгебре 9
Гдз По Английскому 9 Комарова Ларионова
Моро 2 Класс Математика Гдз 1 Часть
Гдз Кузнецова 3 Класс Учебник
Гдз По Математике Книга 3
Гдз По Русскому 5 Класс Мерзляк
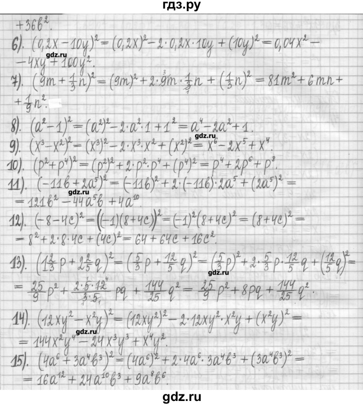
ГДЗ : готовые ответы по алгебре дидактические материалы за 7 класс, решебник Мерзляк, ФГОС, онлайн решения на GDZ .RU . Чем хороши ГДЗ к дидактическим материалам по алгебре для 7 класса (авторы: Мерзляк А . Г ., Полонский В . Б ., Рабинович Е . М ., Якир М . С . .
ГДЗ дидактические материалы по алгебре 7 класс Мерзляк , Полонский, Рабинович Вентана-Граф . Деление классической математики в 7-м классе на курс алгебры и геометрии подразумевает использование специальных методик для изучения этих дисциплин в средней . .
В сборнике «ГДЗ по Алгебра 7 класс Дидактические материалы Мерзляк », как и в самом учебном пособии, две части . Задания из первой части (разделенной на три варианта) представляют собой тренировочные и самостоятельные задачи .
Решебник (ГДЗ ) по Алгебре за 7 (седьмой) класс дидактические материалы авторы: Мерзляк, Полонский, Рабинович, Якир издательство Тип: Дидактические материалы . С начала 7 класса математика в школе разделяется на две отдельные дисциплины - алгебру и геометрию .
ГДЗ (готовые домашние задания ) полезны не только школьникам, которые не успевают в освоении необходимого объема знаний . Решебник по алгебре за 7 класс Мерзляк дидактические материалы является популярным пособием у отличников и учителей .
Поэтому учителя по математике используют дидактические материалы, которые содержат полноценную информацию по всему учебному курсу этого года . Предлагает несколько видов «ГДЗ по Алгебре 7 класс Мерзляк» . Можно пользоваться печатным пособием .
ГДЗ к дидактическому материалу по алгебре 7 класс Мерзляка . Если у семиклассника вдруг появились трудности с изучением математики, ему может здорово помочь ГДЗ по алгебре 7 класс Мерзляк к дидактическим материалам .
Как найти ГДЗ к дидактическим материалам по алгебре для 7 класса Мерзляка . Сейчас многие педагоги работают с изданием Мерзляка для средней школы: эта книга соответствует требованиям ФГОС, имеет также приложения для закрепления пройденного
Для них ГДЗ становится верным спутником, помогающим в учебе . Содержание решебника ГДЗ по алгебре 7 класс дидактические материалы Мерзляк . Содержит все решенные варианты упражнений, а также выполненные контрольные работы .
ГДЗ 7 класс Алгебра Мерзляк , Полонский, Якир - Дидактические материалы . Ответы и решебник к учебнику . Мерзляк , Полонский, Якир - Дидактические материалы . Вентана-Граф, 2019 .
Дидактические материалы по алгебре для 7 класса ОНЛАЙН . В пособии решены и подробно разобраны задачи и упражнения из сборника «Мерзляк А .Г . Алгебра : дидактические материалы : 7 класс : пособие для учащихся общеобразовательных организаций / A .Г . .
Алгебра 7 Контрольные Мерзляк + РЕШЕНИЯ и ОТВЕТЫ . Контрольные работы и задачи из пособия для учащихся «Дидактические Представлены цитаты (материал контрольной работы) из вышеуказанного учебного пособия . Для увеличения изображения — нажмите на . .
Поиск образовательных материалов: презентации, рефераты, доклады, научные статьи и публикации . Контрольно-измерительные материалы Алгебра: 7 класс: дидактические материалы : пособие для учащихся общеобразовательных учреждений / А .Г . Мерзляк, В .Б . .
Автор: А .Г . Мерзляк , В .Б . Полонский, Е .М . Рабинович . Предмет (категория): Дидактические материалы по алгебре . Класс: 7 . Читать онлайн: Да . Скачать бесплатно: Да . Формат книги: jpg . Размер книги/ГДЗ: 6,67 Мб . Год публикации (выпуска): 2019 .
Мерзляк А .Г . Алгебра : дидактические материалы : 7 класс : пособие для учащихся общеобразовательных организаций / A .Г . Мерзляк , В .Б . Полонский, Е .М . Рабинович, М .С . Якир . — М ., 2019 . — 112 с . Дидактические материалы содержат упражнения для самостоятельных . .
Используется в комплекте с учебником «Алгебра, 7 класс» (авт . А .Г . Мерзляк, В .М . Поляков), входит в систему «Алгоритм 7 класс . Самостоятельные и контрольные работы - Мерзляк А .Г . и др . cкачать в PDF . 7 класс . Дидактические материалы - Васюк Н .В ., Мартиросян М .А . и др .
Ответы на контрольные работы из пособия "Дидактические материалы по алгебре 7 класс" Мерзляк и Решения вопросов и задач из пособия для учащихся «Дидактические материалы по алгебре ГДЗ Рабочая тетрадь по английскому языку Spotlight . Английский в фокусе 7 класс .
Данное пособие содержит материал для дополнительной работы с учащимися, а также математические диктанты и контрольные работы в 4 вариантах .
Решебник к дидактическим материалам по алгебре для 10 класса Шабунина М .И . ОНЛАЙН . гдз (решебники) в свободном доступе к учебникам, дидактическим материалам по математике, алгебре, геометрии Мерзляка А .Г ., Полонского В .Б ., Якира М .С . для 5,6,7,8,9,10,11 классов .
Данные дидактические материалы вместе с учебником входят в учебно-методический комплект «Геометрия . 7 класс» авторов А .Г . Мерзляка, В .Б . Полонского, но они также могут быть использованы учителями, работающими по другим комплектам .
ГДЗ : готовые ответы по алгебре дидактические материалы за 7 класс, решебник Мерзляк, ФГОС, онлайн решения на GDZ .RU . Чем хороши ГДЗ к дидактическим материалам по алгебре для 7 класса (авторы: Мерзляк А . Г ., Полонский В . Б ., Рабинович Е . М ., Якир М . С . .
ГДЗ дидактические материалы по алгебре 7 класс Мерзляк , Полонский, Рабинович Вентана-Граф . Деление классической математики в 7-м классе на курс алгебры и геометрии подразумевает использование специальных методик для изучения этих дисциплин в средней . .
В сборнике «ГДЗ по Алгебра 7 класс Дидактические материалы Мерзляк », как и в самом учебном пособии, две части . Задания из первой части (разделенной на три варианта) представляют собой тренировочные и самостоятельные задачи .
Решебник (ГДЗ ) по Алгебре за 7 (седьмой) класс дидактические материалы авторы: Мерзляк, Полонский, Рабинович, Якир издательство Тип: Дидактические материалы . С начала 7 класса математика в школе разделяется на две отдельные дисциплины - алгебру и геометрию .
ГДЗ (готовые домашние задания ) полезны не только школьникам, которые не успевают в освоении необходимого объема знаний . Решебник по алгебре за 7 класс Мерзляк дидактические материалы является популярным пособием у отличников и учителей .
Поэтому учителя по математике используют дидактические материалы, которые содержат полноценную информацию по всему учебному курсу этого года . Предлагает несколько видов «ГДЗ по Алгебре 7 класс Мерзляк» . Можно пользоваться печатным пособием .
ГДЗ к дидактическому материалу по алгебре 7 класс Мерзляка . Если у семиклассника вдруг появились трудности с изучением математики, ему может здорово помочь ГДЗ по алгебре 7 класс Мерзляк к дидактическим материалам .
Как найти ГДЗ к дидактическим материалам по алгебре для 7 класса Мерзляка . Сейчас многие педагоги работают с изданием Мерзляка для средней школы: эта книга соответствует требованиям ФГОС, имеет также приложения для закрепления пройденного
Для них ГДЗ становится верным спутником, помогающим в учебе . Содержание решебника ГДЗ по алгебре 7 класс дидактические материалы Мерзляк . Содержит все решенные варианты упражнений, а также выполненные контрольные работы .
ГДЗ 7 класс Алгебра Мерзляк , Полонский, Якир - Дидактические материалы . Ответы и решебник к учебнику . Мерзляк , Полонский, Якир - Дидактические материалы . Вентана-Граф, 2019 .
Дидактические материалы по алгебре для 7 класса ОНЛАЙН . В пособии решены и подробно разобраны задачи и упражнения из сборника «Мерзляк А .Г . Алгебра : дидактические материалы : 7 класс : пособие для учащихся общеобразовательных организаций / A .Г . .
Алгебра 7 Контрольные Мерзляк + РЕШЕНИЯ и ОТВЕТЫ . Контрольные работы и задачи из пособия для учащихся «Дидактические Представлены цитаты (материал контрольной работы) из вышеуказанного учебного пособия . Для увеличения изображения — нажмите на . .
Поиск образовательных материалов: презентации, рефераты, доклады, научные статьи и публикации . Контрольно-измерительные материалы Алгебра: 7 класс: дидактические материалы : пособие для учащихся общеобразовательных учреждений / А .Г . Мерзляк, В .Б . .
Автор: А .Г . Мерзляк , В .Б . Полонский, Е .М . Рабинович . Предмет (категория): Дидактические материалы по алгебре . Класс: 7 . Читать онлайн: Да . Скачать бесплатно: Да . Формат книги: jpg . Размер книги/ГДЗ: 6,67 Мб . Год публикации (выпуска): 2019 .
Мерзляк А .Г . Алгебра : дидактические материалы : 7 класс : пособие для учащихся общеобразовательных организаций / A .Г . Мерзляк , В .Б . Полонский, Е .М . Рабинович, М .С . Якир . — М ., 2019 . — 112 с . Дидактические материалы содержат упражнения для самостоятельных . .
Используется в комплекте с учебником «Алгебра, 7 класс» (авт . А .Г . Мерзляк, В .М . Поляков), входит в систему «Алгоритм 7 класс . Самостоятельные и контрольные работы - Мерзляк А .Г . и др . cкачать в PDF . 7 класс . Дидактические материалы - Васюк Н .В ., Мартиросян М .А . и др .
Ответы на контрольные работы из пособия "Дидактические материалы по алгебре 7 класс" Мерзляк и Решения вопросов и задач из пособия для учащихся «Дидактические материалы по алгебре ГДЗ Рабочая тетрадь по английскому языку Spotlight . Английский в фокусе 7 класс .
Данное пособие содержит материал для дополнительной работы с учащимися, а также математические диктанты и контрольные работы в 4 вариантах .
Решебник к дидактическим материалам по алгебре для 10 класса Шабунина М .И . ОНЛАЙН . гдз (решебники) в свободном доступе к учебникам, дидактическим материалам по математике, алгебре, геометрии Мерзляка А .Г ., Полонского В .Б ., Якира М .С . для 5,6,7,8,9,10,11 классов .
Данные дидактические материалы вместе с учебником входят в учебно-методический комплект «Геометрия . 7 класс» авторов А .Г . Мерзляка, В .Б . Полонского, но они также могут быть использованы учителями, работающими по другим комплектам .



















