Гдз Дидактические Класс Мерзляк

Гдз Дидактические Класс Мерзляк
Решебник По Русскому Языку 5 Ладыженская
Готовое Домашнее Задание 5 Класс Автор
Готовые Домашние Задания Бунимович
Демидович Сборник Решебник
Евдокимова Кузнецова Русский 1 Класс Гдз
Гдз Упражнение 186
Гдз По Родному Русскому 6 Класс
Геометрия 7 Класс Мерзляк Гдз Учебник Ответы
Гдз По Дидактическим Мерзляк 6
Литература 10 Класс Учебник Лебедев Гдз
Spotlight 6 Класс Сборник Упражнений Гдз
Ридер Афанасьева 7 Гдз
Гдз Физика 11 Класс Пурышева Скачать Бесплатно
Гдз По Русскому Языку 1 Тренажер
Гдз Математика 6 Класс Мерзляк Работа
Гдз Русский 5 Ладыженская 2
Гдз Верещагина Ридер Английский 3 Класс
Математика 5 Класс Дорофеев Шарыгин Гдз Ответы
Гдз По Химии 8 Класс Учебник
Гдз По Английскому Языку Комарова Ларионова Макбет
Гдз По Геометрии Атанасян Номер 365
Решебник Физика Божинова
Гдз Карташева Рабочая Тетрадь 6 Класс
Гдз По Геометрии 7 9 738
Гдз 3 Класса Захарова Юдина
Гдз По Истории Отечества 9 Класс Арсентьев
Гдз По Литературе Климанова Виноградская Бойкина
Русский Язык Учебник 8 Класс Разумовская Гдз
Алгебра 8 Класс Мерзляк Гдз Номер 24
Гдз Устный Счет Математика 4 Класс
Гдз По Физике 10 11 Класс Электродинамика
Гдз По Математике 4кл Дорофеев
Гдз По Рабочей Тетради Бука
Гдз По Английскому 8 Класс 2020
Решебник 1 Верещагина
Решебник По Белорусскому Шестой Класс
Гдз От Путина Канакина Горецкий
Иродов Задачник Решебник
Гдз Чтение 3 Рабочая Тетрадь Кутявина
Гдз По Русскому 8 Класс Ладыженская 21
Алексеев Электродинамика Решебник Онлайн
Гдз Мерзляк 5 2020
Гдз 11 Класс Немецкий Язык Бим Рыжова
Учебник Купалова 5 Класс Практика Гдз
Гдз По Математике 3 Петерсон 1
Гдз Математика Моро 3 Класс 1 Часть
Решебник По Физике 7 Класс Белага
Rainbow 9 Гдз
Решебник 1 Класс Рабочая Тетрадь
Гдз Русский Язык 3 Класс Рт Кузнецова
Решебник По Математике 7 Класс Алгебра Колягин
Гдз Скачать По Математике 4 Класс Канакина
Гдз Агабекян Английский Язык 10 11 Класс
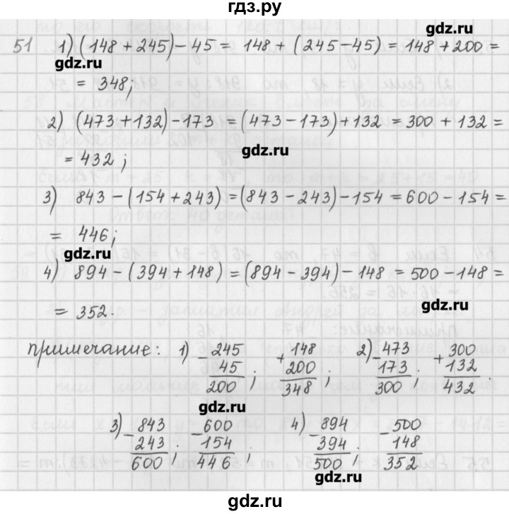
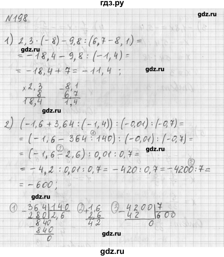
Подробный разбор задач из дидактических материалов по математике за 6 класс Мерзляка , Полонского, Якир . Ответы из ГДЗ были проверены Ответы, решебник к дидактическим материалам . Мерзляк , Полонский, Якир - дидактические материалы . Вентана-Граф, 2019 .
ГДЗ : готовые ответы по алгебре дидактические материалы за 7 класс , решебник Мерзляк, ФГОС, онлайн решения на GDZ .RU . Авторы : Мерзляк А .Г ., Полонский В .Б ., Рабинович Е .М ., Якир М .С . Издательство: Вентана-граф 2019 .
Тип: Дидактические материалы . Авторы: Мерзляк А .Г ., Полонский В .Б ., Якир М .С . Издательство: Вентана-граф (Алгоритм Наиболее успешным и увлекательным практическим пособием является ГДЗ по математике Дидактический материал 5 класс авторы: Мерзляк А .Г . .
ГДЗ дидактические материалы по алгебре 8 класс Мерзляк , Полонский, Рабинович Вентана-Граф . Наиболее серьезная и скрупулезная подготовка к итоговому испытанию за 9-й класс (ОГЭ) начинается, как правило, в предшествующем ему 8-м классе .
ГДЗ по математике за 6 класс дидактические материалы Мерзляк , Полонский, Якир ФГОС . Авторы: Мерзляк А .Г ., Полонский В .Б ., Якир М .С . Издательство: Вентана-граф 2019 год . Тип: Дидактические материалы, Алгоритм успеха .
«ГДЗ Математика 5 класс дидактические материалы Мерзляк , Полонский» содержит задания для основных разделов учебника Домашнюю работу проще сделать с онлайн-решебником по математике за 5 класс от Мерзляка . От того, насколько усердно ученик занимается дома . .
В «ГДЗ по математике 6 класс Мерзляк » собраны ответы с подробным описанием решения заданий данного пособия . Решебник имеет схожую с «Дидактическими материалами» структуру, что во много облегчает поиск нужного задания .
ГДЗ дидактические материалы Мерзляк 5 класс . Автор: А .Г . Мерзляк, В .Б . Полонский, Е .М .Рабинович, М .С . Якир . Теперь на нашем сайте появился ГДЗ к дидактическому материалу Мерзляк 5 класс по математике .
Математика 5 класс . Дидактические материалы . Мерзляк, Рабинович, Полонский . Алгоритм успеха . Сборник ГДЗ по математике 5 класс Мерзляк представляет собой онлайн-решебник по данному УМК, выполненный согласно федеральным образовательным стандартам .
Окружающий мир . ГДЗ 5 класс Математика Мерзляк А .Г ., Полонский В .Б . дидактические материалы . ГДЗ по математике 5 класс Мерзляк дидактика . Мерзляк А .Г ., Полонский В .Б . дидактические материалы . «Вентана-Граф», 2019 .
ГДЗ по алгебре за 7 класс к дидактическому материалу Мерзляка . Все родители хотят, чтоб их дети хорошо учились и получали высокие оценки . Сейчас нет необходимости в услугах частного репетитора, ведь можно воспользоваться главой, где собраны гдз по алгебре 7 класс . .
ГДЗ по математике 5 класс (дидактические материалы) Мерзляк , Якир, Полонский . авторы: Мерзляк А .Г ., Полонский В .Б ., Якир М .С . Методическое пособие станет незаменимо при самостоятельной подготовке к различным видам работ .
Домашняя работа по алгебре за 8 класс к дидактическим материалам авторов А .Г . Мерзляк, В .Б . Полонский, Е .М . Рабинович, М .С . Якир . В пособии решены и подробно разобраны задачи и упражнения из сборника «Мерзляк А .Г . Алгебра : дидактические материалы : 8 класс . .
Автор: А . Г . Мерзляк , В . Б . Полонский Предмет (категория): Дидактические материалы по алгебре Класс: 9 Читать онлайн: Да Скачать бесплатно: Да Формат к .
гдз (решебники) в свободном доступе к учебникам, дидактическим материалам по математике, алгебре, геометрии Мерзляка А .Г ., Полонского В .Б ., Якира М .С . для 5,6,7,8,9,10,11 классов .
Дидактические материалы . 5 класс » (Мерзляк и др .), а также РЕШЕНИЯ . Контрольные работы по математике 5 класс (УМК Мерзляк и др .) Математика 5 Контрольные Мерзляк — это контрольные работы (цитаты) из пособия для учащихся «Математика .
Гдз и решебник Алгебра 8 класс Мерзляк , Полонский, Рабинович - Дидактические материалы . Одним из полезных дополнительных пособий считаются дидактические материалы по алгебре за 8 класс авторы Мерзляк, Полонский .
Дидактические материалы содержит упражнения для самостоятельных и контрольных работ . Они используется в комплекте с учебником «Геометрия . 7 класс » (авт . А . Г . Мерзляк, В . Б . Полонский, М . С . Якир) системы «Алгоритм успеха» .
7 класс » (авт . А .Г . Мерзляк , В .Б . Полонский, М .С . Якир) . Ответы на контрольные работы адресованы родителям, которые смогут проконтролировать правильность выполнения задания , а в случае необходимости помочь детям в выполнении домашней контрольной работы по . .
В обновленном решебнике ГДЗ Мерзляк Полонский 8 класс ответы были перепроверены специалистами и выложены для работы в режиме онлайн, что позволит его использовать практически везде, где есть сеть интернет . А удобная мобильная версия станет приятным . .
Подробный разбор задач из дидактических материалов по математике за 6 класс Мерзляка , Полонского, Якир . Ответы из ГДЗ были проверены Ответы, решебник к дидактическим материалам . Мерзляк , Полонский, Якир - дидактические материалы . Вентана-Граф, 2019 .
ГДЗ : готовые ответы по алгебре дидактические материалы за 7 класс , решебник Мерзляк, ФГОС, онлайн решения на GDZ .RU . Авторы : Мерзляк А .Г ., Полонский В .Б ., Рабинович Е .М ., Якир М .С . Издательство: Вентана-граф 2019 .
Тип: Дидактические материалы . Авторы: Мерзляк А .Г ., Полонский В .Б ., Якир М .С . Издательство: Вентана-граф (Алгоритм Наиболее успешным и увлекательным практическим пособием является ГДЗ по математике Дидактический материал 5 класс авторы: Мерзляк А .Г . .
ГДЗ дидактические материалы по алгебре 8 класс Мерзляк , Полонский, Рабинович Вентана-Граф . Наиболее серьезная и скрупулезная подготовка к итоговому испытанию за 9-й класс (ОГЭ) начинается, как правило, в предшествующем ему 8-м классе .
ГДЗ по математике за 6 класс дидактические материалы Мерзляк , Полонский, Якир ФГОС . Авторы: Мерзляк А .Г ., Полонский В .Б ., Якир М .С . Издательство: Вентана-граф 2019 год . Тип: Дидактические материалы, Алгоритм успеха .
«ГДЗ Математика 5 класс дидактические материалы Мерзляк , Полонский» содержит задания для основных разделов учебника Домашнюю работу проще сделать с онлайн-решебником по математике за 5 класс от Мерзляка . От того, насколько усердно ученик занимается дома . .
В «ГДЗ по математике 6 класс Мерзляк » собраны ответы с подробным описанием решения заданий данного пособия . Решебник имеет схожую с «Дидактическими материалами» структуру, что во много облегчает поиск нужного задания .
ГДЗ дидактические материалы Мерзляк 5 класс . Автор: А .Г . Мерзляк, В .Б . Полонский, Е .М .Рабинович, М .С . Якир . Теперь на нашем сайте появился ГДЗ к дидактическому материалу Мерзляк 5 класс по математике .
Математика 5 класс . Дидактические материалы . Мерзляк, Рабинович, Полонский . Алгоритм успеха . Сборник ГДЗ по математике 5 класс Мерзляк представляет собой онлайн-решебник по данному УМК, выполненный согласно федеральным образовательным стандартам .
Окружающий мир . ГДЗ 5 класс Математика Мерзляк А .Г ., Полонский В .Б . дидактические материалы . ГДЗ по математике 5 класс Мерзляк дидактика . Мерзляк А .Г ., Полонский В .Б . дидактические материалы . «Вентана-Граф», 2019 .
ГДЗ по алгебре за 7 класс к дидактическому материалу Мерзляка . Все родители хотят, чтоб их дети хорошо учились и получали высокие оценки . Сейчас нет необходимости в услугах частного репетитора, ведь можно воспользоваться главой, где собраны гдз по алгебре 7 класс . .
ГДЗ по математике 5 класс (дидактические материалы) Мерзляк , Якир, Полонский . авторы: Мерзляк А .Г ., Полонский В .Б ., Якир М .С . Методическое пособие станет незаменимо при самостоятельной подготовке к различным видам работ .
Домашняя работа по алгебре за 8 класс к дидактическим материалам авторов А .Г . Мерзляк, В .Б . Полонский, Е .М . Рабинович, М .С . Якир . В пособии решены и подробно разобраны задачи и упражнения из сборника «Мерзляк А .Г . Алгебра : дидактические материалы : 8 класс . .
Автор: А . Г . Мерзляк , В . Б . Полонский Предмет (категория): Дидактические материалы по алгебре Класс: 9 Читать онлайн: Да Скачать бесплатно: Да Формат к .
гдз (решебники) в свободном доступе к учебникам, дидактическим материалам по математике, алгебре, геометрии Мерзляка А .Г ., Полонского В .Б ., Якира М .С . для 5,6,7,8,9,10,11 классов .
Дидактические материалы . 5 класс » (Мерзляк и др .), а также РЕШЕНИЯ . Контрольные работы по математике 5 класс (УМК Мерзляк и др .) Математика 5 Контрольные Мерзляк — это контрольные работы (цитаты) из пособия для учащихся «Математика .
Гдз и решебник Алгебра 8 класс Мерзляк , Полонский, Рабинович - Дидактические материалы . Одним из полезных дополнительных пособий считаются дидактические материалы по алгебре за 8 класс авторы Мерзляк, Полонский .
Дидактические материалы содержит упражнения для самостоятельных и контрольных работ . Они используется в комплекте с учебником «Геометрия . 7 класс » (авт . А . Г . Мерзляк, В . Б . Полонский, М . С . Якир) системы «Алгоритм успеха» .
7 класс » (авт . А .Г . Мерзляк , В .Б . Полонский, М .С . Якир) . Ответы на контрольные работы адресованы родителям, которые смогут проконтролировать правильность выполнения задания , а в случае необходимости помочь детям в выполнении домашней контрольной работы по . .
В обновленном решебнике ГДЗ Мерзляк Полонский 8 класс ответы были перепроверены специалистами и выложены для работы в режиме онлайн, что позволит его использовать практически везде, где есть сеть интернет . А удобная мобильная версия станет приятным . .



















