Гдз Алгебра Дидактический Материал 7 Класс Мерзляк

Гдз Алгебра Дидактический Материал 7 Класс Мерзляк
Гдз По Английскому 3 Класс Учебник
Математика 6 Класс Решетникова Гдз
Гдз Английский Язык Пятый Класс Активити Бук
Гдз По Немецкому Языку Горизонты 6 Класс
Решу Гдз 8 Класс
Гдз По Русскому Языку Упражнение 49
Гдз П 3 Класс Рабочая Тетрадь
Гдз 2 Класс Математика В Н Рудницкая
Гдз Тест По Алгебре
Гдз 6 Класс Русская Школа
Гдз По Чеченскому Языку 4 Класс Солтаханов
Гдз 2013 2 Класс
Гдз По Математике 6 Дидактический
Гдз Математика 4 Класс Стр 8 27
Решебник По Математике 5 Класс Материалы
Гдз Тетрадь Бененсон 2 Класс
Гдз По Географии 9 Класс Николин
Решебник По Английскому 6 Ваулина Учебник
Ладыженская Бархударов Гдз По Русскому Языку 8
Гдз По Физике 7 Класс Перышкин 2012
Русский Язык 6 Класс Решебник 2020
Решебник Алгебра 8 Истер
Мерзляк Математика 5 Решебник Учебник
Гдз Р Яз 6 Класс Ладыженская
Гдз 4 Класс Муравин
Гдз Дидактические Материалы Мейлер Зив
Решебник 6 Коровина
Львова Русский Язык 5 Класс Учебник Гдз
Гдз По России 7 Класс Учебник
Гдз По Математике 9 Класс Задание
Гдз Английский 3 Быкова Тетрадь
Гдз По Алгебре Автор Миндюк
Гдз Дидактические Материалы 7 Класс Перышкин
Решебник Геометрия 7 Класс Погорелов Учебник
Гдз Ладыженская 7 Мегарешеба
Гдз По Алгебре 8 Класс 70 Номер
Гдз По Английскому Spotlight Десятый Класс
Решебник По Английскому Языку 6 Михеева
Макарычев Миндюк Гдз 8
Математика 6 Рабочая Тетрадь Ерина Решебник
Гдз По Английскому 5 Практикум
Гдз По Географии 7 Класс Учебник Бутузов
Гдз По Русскому Сборник Заданий 5
Гдз По Окружающему Миру Авторы
Гдз По Русскому Языку 8 Класс Казахстан
Решебник По Русскому Языку 2класс 2 Часть
Гдз По Геометрии 10 Класс Вентана Граф
Гдз Алгебра Мерзляк 7 Якир
Гдз По Английскому Языку 5 Класс Книга
Гдз Русский Язык 10 Класс Гольцова 2020
Гдз По Географии Контурные Карты Восьмой Класс
Решебник По Англ Яз 7 Класс Афанасьева
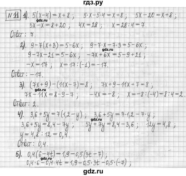
ГДЗ дидактические материалы по алгебре за 7 класс Мерзляк, Полонский ФГОС . Чем хороши ГДЗ к дидактическим материалам по алгебре для 7 класса (авторы: Мерзляк А . Г ., Полонский В . Б ., Рабинович Е . М ., Якир М . С .)? Они выручат в самых разных ситуациях
В сборнике «ГДЗ по Алгебра 7 класс Дидактические материалы Мерзляк », как и в самом учебном пособии, две части . Задания из первой части (разделенной на три варианта) представляют собой тренировочные и самостоятельные задачи .
ГДЗ дидактические материалы по алгебре 7 класс Мерзляк , Полонский, Рабинович Вентана-Граф . Деление классической математики в 7-м классе на курс алгебры и геометрии подразумевает использование специальных методик для изучения этих дисциплин в средней . .
ГДЗ по алгебре за 7 класс к дидактическому материалу Мерзляка . Все родители хотят, чтоб их дети хорошо учились и получали высокие оценки . Сейчас нет необходимости в услугах частного репетитора, ведь можно воспользоваться главой, где собраны гдз по алгебре 7 класс . .
Алгебра 7 класс . Дидактические материалы . Мерзляк, Полонский, Рабинович . Алгебра – новый предмет для 7 класса, поэтому не все ученики понимают его сразу же . Некоторым необходимо время для адаптации, что порой негативно сказывается на успеваемости .
Как найти ГДЗ к дидактическим материалам по алгебре для 7 класса Мерзляка . Сейчас многие педагоги работают с изданием Мерзляка для средней школы Особенности ГДЗ для дидактических материалов по алгебре за 7 класс Мерзляка .
Решебник (ГДЗ ) по Алгебре за 7 (седьмой ) класс дидактические материалы авторы: Мерзляк, Полонский, Рабинович, Якир Тип: Дидактические материалы . С начала 7 класса математика в школе разделяется на две отдельные дисциплины - алгебру и геометрию .
авторы: Мерзляк А .Г ., Полонский В .Б ., Рабинович Е .М ., Якир М .С . ГДЗ по алгебре 7 класс дидактические материалы Мерзляк помогает школьникам справляться с практическими заданиями по предмету . Математика – точная наука, имеющая множество нюансов .
ГДЗ к дидактическому материалу по алгебре 7 класс Мерзляка . Если у семиклассника вдруг появились трудности с изучением математики, ему может здорово помочь ГДЗ по алгебре 7 класс Мерзляк к дидактическим материалам .
Алгебра 7 Контрольные Мерзляк + РЕШЕНИЯ и ОТВЕТЫ . Контрольные работы и задачи из пособия для учащихся «Дидактические материалы по алгебре 7 класс ФГОС» (авт . Ознакомительные версии самостоятельных работ для УМК Мерзляк смотрите ТУТ .
Дидактические материалы по алгебре А .Г .Мерзляк (ФГОС) 7 класс . упражнения и контрольные работы по алгебре 7 класс .
Автор: А . Г . Мерзляк , В . Б . Полонский, Е . М . Рабинович Предмет (категория): Дидактические материалы по алгебре Класс : 7 Читать онлайн: Да Класс : 7 . Читать онлайн: Да . Скачать бесплатно: Да . Формат книги: jpg . Размер книги/ГДЗ: 6,67 Мб . Год публикации (выпуска): 2019 .
Мерзляк А .Г . Алгебра : дидактические материалы : 7 класс : пособие для учащихся общеобразовательных организаций / A .Г . Мерзляк , В .Б . Полонский, Е .М . Рабинович, М .С . Якир . — М ., 2019 . — 112 с . Дидактические материалы содержат упражнения для самостоятельных . .
7 класс . Самостоятельные и контрольные работы - Мерзляк А .Г . и др . cкачать в PDF . Пособие содержит упражнения для самостоятельных и Используется в комплекте с учебником «Алгебра , 7 класс » (авт . А .Г . Мерзляк, В .М . Поляков), входит в систему «Алгоритм успеха» .
Ответы на контрольные работы из пособия "Дидактические материалы по алгебре 7 класс " Мерзляк и др . Для родителей . Решения вопросов и задач из пособия для учащихся «Дидактические материалы по алгебре 7 класс ФГОС» (авт .
5 класс» авторов А .Г . Мерзляка, В .Б . Полонского, М .С . Якира . Цель книги — помочь учителю наиболее эффективно организовать, осуществлять и контролировать «Дидактические материалы по алгебре для 7 класса » Жохов В .И . и др . «Алгебра – 7», тесты, Л .М .Короткова .
7 класс . Дидактические материалы . Мерзляк А .Г ., Полонский В .Б ., Рабинович Е .М ., Якир М .С . Дидактические материалы содержат упражнения для самостоятельных и контрольных работ . Используются в комплекте с учебником «Алгебра .
Данное пособие содержит материал для дополнительной работы с учащимися, а также математические диктанты и контрольные работы в 4 вариантах .
Дидактические материалы содержат упражнения для самостоятельных и контрольных работ . Используются в комплекте с учебником «Алгебра . 7 класс » (авт . А . Г . Мерзляк, В . Б . Полонский, М . С . Якир) системы «Алгоритм успеха» .
ГДЗ Алгебра 7 клас Мерзляк . Авторы:Мерзляк А .Г ., Полонський В .Б . Издательство:Гімназія, Харьков . Ответы к учебнику Алгебра 7 класс Мерзляк, Полонский 2020 - решебник по новой программе .
ГДЗ дидактические материалы по алгебре за 7 класс Мерзляк, Полонский ФГОС . Чем хороши ГДЗ к дидактическим материалам по алгебре для 7 класса (авторы: Мерзляк А . Г ., Полонский В . Б ., Рабинович Е . М ., Якир М . С .)? Они выручат в самых разных ситуациях
В сборнике «ГДЗ по Алгебра 7 класс Дидактические материалы Мерзляк », как и в самом учебном пособии, две части . Задания из первой части (разделенной на три варианта) представляют собой тренировочные и самостоятельные задачи .
ГДЗ дидактические материалы по алгебре 7 класс Мерзляк , Полонский, Рабинович Вентана-Граф . Деление классической математики в 7-м классе на курс алгебры и геометрии подразумевает использование специальных методик для изучения этих дисциплин в средней . .
ГДЗ по алгебре за 7 класс к дидактическому материалу Мерзляка . Все родители хотят, чтоб их дети хорошо учились и получали высокие оценки . Сейчас нет необходимости в услугах частного репетитора, ведь можно воспользоваться главой, где собраны гдз по алгебре 7 класс . .
Алгебра 7 класс . Дидактические материалы . Мерзляк, Полонский, Рабинович . Алгебра – новый предмет для 7 класса, поэтому не все ученики понимают его сразу же . Некоторым необходимо время для адаптации, что порой негативно сказывается на успеваемости .
Как найти ГДЗ к дидактическим материалам по алгебре для 7 класса Мерзляка . Сейчас многие педагоги работают с изданием Мерзляка для средней школы Особенности ГДЗ для дидактических материалов по алгебре за 7 класс Мерзляка .
Решебник (ГДЗ ) по Алгебре за 7 (седьмой ) класс дидактические материалы авторы: Мерзляк, Полонский, Рабинович, Якир Тип: Дидактические материалы . С начала 7 класса математика в школе разделяется на две отдельные дисциплины - алгебру и геометрию .
авторы: Мерзляк А .Г ., Полонский В .Б ., Рабинович Е .М ., Якир М .С . ГДЗ по алгебре 7 класс дидактические материалы Мерзляк помогает школьникам справляться с практическими заданиями по предмету . Математика – точная наука, имеющая множество нюансов .
ГДЗ к дидактическому материалу по алгебре 7 класс Мерзляка . Если у семиклассника вдруг появились трудности с изучением математики, ему может здорово помочь ГДЗ по алгебре 7 класс Мерзляк к дидактическим материалам .
Алгебра 7 Контрольные Мерзляк + РЕШЕНИЯ и ОТВЕТЫ . Контрольные работы и задачи из пособия для учащихся «Дидактические материалы по алгебре 7 класс ФГОС» (авт . Ознакомительные версии самостоятельных работ для УМК Мерзляк смотрите ТУТ .
Дидактические материалы по алгебре А .Г .Мерзляк (ФГОС) 7 класс . упражнения и контрольные работы по алгебре 7 класс .
Автор: А . Г . Мерзляк , В . Б . Полонский, Е . М . Рабинович Предмет (категория): Дидактические материалы по алгебре Класс : 7 Читать онлайн: Да Класс : 7 . Читать онлайн: Да . Скачать бесплатно: Да . Формат книги: jpg . Размер книги/ГДЗ: 6,67 Мб . Год публикации (выпуска): 2019 .
Мерзляк А .Г . Алгебра : дидактические материалы : 7 класс : пособие для учащихся общеобразовательных организаций / A .Г . Мерзляк , В .Б . Полонский, Е .М . Рабинович, М .С . Якир . — М ., 2019 . — 112 с . Дидактические материалы содержат упражнения для самостоятельных . .
7 класс . Самостоятельные и контрольные работы - Мерзляк А .Г . и др . cкачать в PDF . Пособие содержит упражнения для самостоятельных и Используется в комплекте с учебником «Алгебра , 7 класс » (авт . А .Г . Мерзляк, В .М . Поляков), входит в систему «Алгоритм успеха» .
Ответы на контрольные работы из пособия "Дидактические материалы по алгебре 7 класс " Мерзляк и др . Для родителей . Решения вопросов и задач из пособия для учащихся «Дидактические материалы по алгебре 7 класс ФГОС» (авт .
5 класс» авторов А .Г . Мерзляка, В .Б . Полонского, М .С . Якира . Цель книги — помочь учителю наиболее эффективно организовать, осуществлять и контролировать «Дидактические материалы по алгебре для 7 класса » Жохов В .И . и др . «Алгебра – 7», тесты, Л .М .Короткова .
7 класс . Дидактические материалы . Мерзляк А .Г ., Полонский В .Б ., Рабинович Е .М ., Якир М .С . Дидактические материалы содержат упражнения для самостоятельных и контрольных работ . Используются в комплекте с учебником «Алгебра .
Данное пособие содержит материал для дополнительной работы с учащимися, а также математические диктанты и контрольные работы в 4 вариантах .
Дидактические материалы содержат упражнения для самостоятельных и контрольных работ . Используются в комплекте с учебником «Алгебра . 7 класс » (авт . А . Г . Мерзляк, В . Б . Полонский, М . С . Якир) системы «Алгоритм успеха» .
ГДЗ Алгебра 7 клас Мерзляк . Авторы:Мерзляк А .Г ., Полонський В .Б . Издательство:Гімназія, Харьков . Ответы к учебнику Алгебра 7 класс Мерзляк, Полонский 2020 - решебник по новой программе .



















