Гдз Алгебра 7 Мерзляк Дидактические

Гдз Алгебра 7 Мерзляк Дидактические
Решебник По Английскому Языку Афанасьевой
Гдз По Математике 6 Класс Школа 44
Гдз По Математике Р 2
Гдз Русский 3 Класс Иванов Евдокимова
Гдз По Русскому Языку Контрольные Вопросы
Решебник По Английскому 6 Класс Spotlight
Гдз Илюхина 1 Часть
Гдз По Русскому 4 Языка Горецкий
Микулина Рабочая Тетрадь 3 Класс Гдз
Гдз По Математике 2 Полугодие
Общество 10 Класс Учебник Боголюбов Гдз
Готовые Домашние Задания По Русскому Тетрадь
Гдз По Англ 3 Кл Учебник
Гдз По Литературе 3 Класс Учебник
Готовые Домашние Задания По Физике 8 Класс
Гдз Математика 3 Класс Дорофеев Миракова
Гдз По Физике Родина
Русский Язык 8 Класс Учебник Гдз Крючков
Гдз Русский Язык Ладыженская 2012
Англ Яз Решебник Кузовлев
Гдз От Путина 8 Класс Русский Пичугов
Рт По Алгебре 9 Класс Минаева Гдз
Решебник Алгебра Виленкин
Обществознание 11 Класс Учебник Гдз
Физика 9 Класс Пурышева Гдз Учебник
Гдз Кибирева 7 Класс
Гдз По Математике 1 Класс Горецкий
Гдз 6 Виленкин Видео
Гдз Математика Рыбченкова
Никольский Потапов 7 Класс Гдз Учебник
Гдз Дидактический Материал 7 Класс Потапов Шевкин
История России 7 Класс Учебник Пчелов Гдз
Гдз 11 Комарова Учебник
Гдз По Русскому Языку 7 Класс Пичугов
Русский Язык 9 Кл Гдз
Гдз Огэ Математика 2020 Год
Rainbow English 11 Класс Гдз
Алгебра 7 Класс Гдз Решебник Ответы
Гдз По Математике 4 Класс Рудницкая 1
Геометрия 7 Класс Атанасян Бутузов Учебник Гдз
Гдз Биология 7 Латюшина
Гдз Русскому 7 Класс Ответы
Гдз По Русскому Языку 7 Класс 4
Гдз Английский 1 Год Обучения Афанасьева
Гдз Математика 4 Чекин Учебник 1
Гдз По Английскому Яз Класс
Горецкий 2 Решебник
Гдз По Русскому Языку Второго Класса
Гдз 9 Кл Русский Язык Бархударов 2020
Решебник По Физике Перышкина 7 9
Решебник По Русскому 10 Класс Гольцова Шамшин
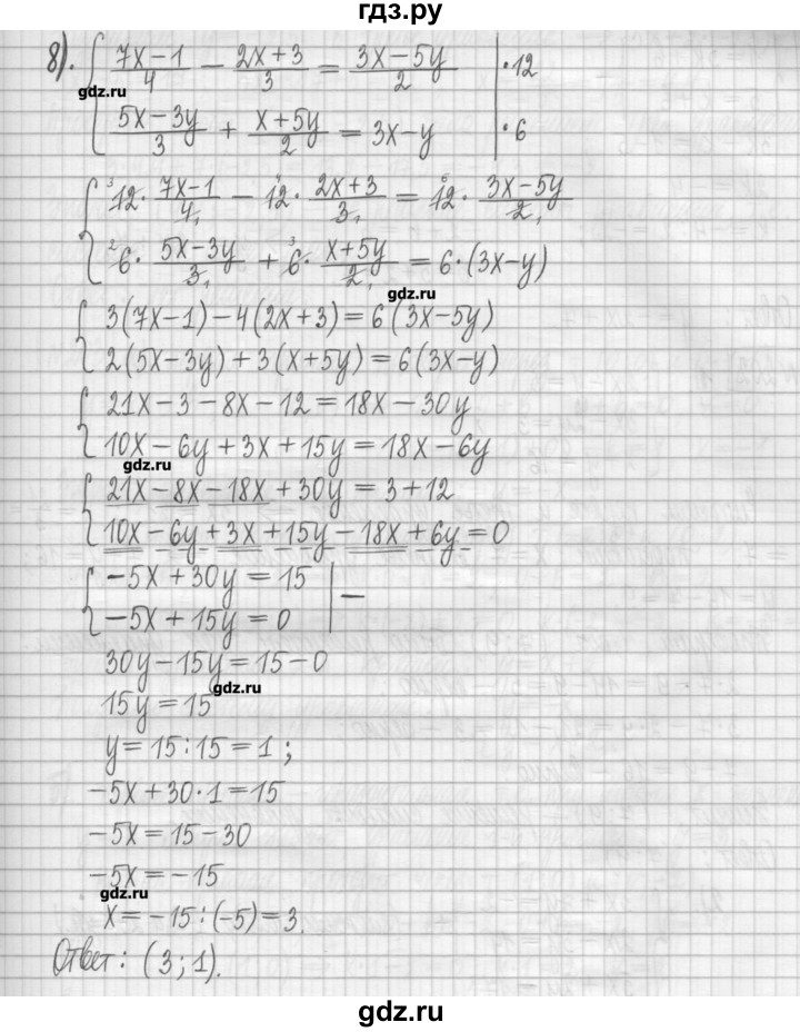
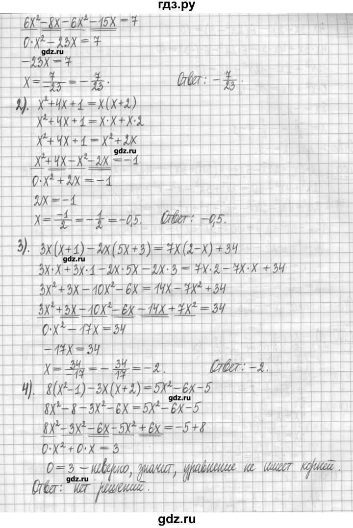
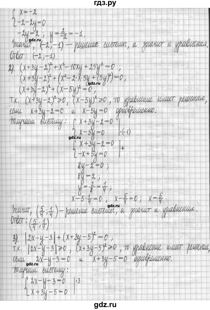
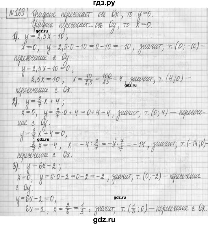
ГДЗ дидактические материалы по алгебре за 7 класс Мерзляк , Полонский ФГОС . Авторы : Мерзляк А .Г ., Полонский В .Б ., Рабинович Е .М Чем хороши ГДЗ к дидактическим материалам по алгебре для 7 класса (авторы: Мерзляк А . Г ., Полонский В . Б ., Рабинович Е . М ., Якир М . С . .
ГДЗ дидактические материалы по алгебре 7 класс Мерзляк , Полонский, Рабинович Вентана-Граф . Деление классической математики в 7 -м классе на курс алгебры и геометрии подразумевает использование специальных методик для изучения этих дисциплин в средней . .
В сборнике «ГДЗ по Алгебра 7 класс Дидактические материалы Мерзляк », как и в самом учебном пособии, две части . Задания из первой части (разделенной на три варианта) представляют собой тренировочные и самостоятельные задачи .
Решебник (ГДЗ ) по Алгебре за 7 (седьмой) класс дидактические материалы авторы: Мерзляк, Полонский, Рабинович, Якир издательство Вентана-граф, 2019 год . Тип: Дидактические материалы . С начала 7 класса математика в школе разделяется на две отдельные дисциплины . .
ГДЗ по алгебре за 7 класс к дидактическому материалу Мерзляка . Все родители хотят, чтоб их дети хорошо учились и получали высокие оценки . Сейчас нет необходимости в услугах частного репетитора, ведь можно воспользоваться главой, где собраны гдз по алгебре 7 класс . .
ГДЗ – помощник в учебе . Алгебра – новый предмет для 7 класса, поэтому не все ученики понимают его сразу же . Понять дисциплину и не упустить время поможет решебник к учебнику «Алгебра 7 класс Дидактические материалы Мерзляк, Полонский, Рабинович Вентана-Граф» .
авторы: Мерзляк А .Г ., Полонский В .Б ., Рабинович Е .М ., Якир М .С . ГДЗ по алгебре 7 класс дидактические материалы Мерзляк помогает школьникам справляться с практическими заданиями по предмету . Математика – точная наука, имеющая множество нюансов .
ГДЗ к дидактическому материалу по алгебре 7 класс Мерзляка . Если у семиклассника вдруг появились трудности с изучением математики, ему может здорово помочь ГДЗ по алгебре 7 класс Мерзляк к дидактическим материалам .
Тут отличные гдз по алгебре дидактические материалы для 7 класса, Мерзляк А .Г ., Полонский В .Б ., Рабинович Е .М ., Якир М .С . от Путина . В этом случае обратитесь на наш портал с ГДЗ к дидактическим материалам по алгебре для 7 класса (авторы: Мерзляк А . Г ., Полонский В . Б . .
ГДЗ 7 класс Алгебра Мерзляк , Полонский, Якир - Дидактические материалы . Ответы и решебник к учебнику . Мерзляк , Полонский, Якир - Дидактические материалы . Вентана-Граф, 2019 .
Детализированные ответы в ГДЗ по алгебре 7 класс Мерзляк дают полное понимание алгоритма решений . Дидактические материалы 7 класс" Мерзляк поможет не только хорошо подготовиться к проверочным работам, но и лучше усвоить необходимые познания .
Алгебра 7 Контрольные Мерзляк + РЕШЕНИЯ и ОТВЕТЫ . Контрольные работы и задачи из пособия для учащихся «Дидактические материалы по алгебре 7 класс ФГОС» (авт . А .Г . Мерзляк, В .Б . Полонский, Е .М .Рабинович, изд-во «Вентана-Граф»), которое используется в . .
Вы здесь: Главная сайта ГДЗ Алгебра 7 класс Мерзляк , Полонский дидактические материалы 7 класс алгебра 2019 . Читать онлайн или скачать дидактические материалы по алгебре для 7 класса Мерзляк 2019 года
ОТВЕТЫ: АЛГЕБРА Контрольные работы 7 класс . Решения вопросов и задач из пособия для учащихся «Дидактические материалы по алгебре 7 класс ФГОС» (авт . А .Г . Мерзляк, В .Б . Полонский, Е .М .Рабинович, изд-во «Вентана-Граф» . .
А .Г .Мерзляк »Алгебра 7 класс» . Методический комплект:Алгебра 7 .Самостоятельные и контрольные работы . Контрольно-измерительные материалы Алгебра : 7 класс: дидактические материалы: пособие для учащихся общеобразовательных учреждений / А .Г . .
Используется в комплекте с учебником «Алгебра , 7 класс» (авт . А .Г . Мерзляк, В .М . Поляков), входит в систему «Алгоритм успеха» . 7 класс . Самостоятельные и контрольные работы - Мерзляк А .Г . и др . cкачать в PDF . Пособие содержит упражнения для самостоятельных и . .
Мерзляк А .Г . Алгебра : дидактические материалы : 7 класс : пособие для учащихся общеобразовательных организаций / A .Г . Мерзляк , В .Б . Полонский, Е .М . Рабинович, М .С . Якир . — М ., 2019 . — 112 с . Дидактические материалы содержат упражнения для самостоятельных и . .
упражнения и контрольные работы по алгебре 7 класс . Просмотр содержимого документа Дидактические материалы по алгебре А .Г .Мерзляк (ФГОС) 7 класс .
Наш решебник с готовыми домашними заданиями ГДЗ поможет детям, даже не имеющим математических наклонностей в получении положительных оценок по предмету . Самопроверка станет залогом хорошей успеваемости в школе .
ГДЗ Алгебра 7 клас Мерзляк . Авторы:Мерзляк А .Г ., Полонський В .Б . Издательство:Гімназія, Харьков . Год издания:2020 . Ответы к учебнику Алгебра 7 класс Мерзляк, Полонский 2020 - решебник по новой программе .
ГДЗ дидактические материалы по алгебре за 7 класс Мерзляк , Полонский ФГОС . Авторы : Мерзляк А .Г ., Полонский В .Б ., Рабинович Е .М Чем хороши ГДЗ к дидактическим материалам по алгебре для 7 класса (авторы: Мерзляк А . Г ., Полонский В . Б ., Рабинович Е . М ., Якир М . С . .
ГДЗ дидактические материалы по алгебре 7 класс Мерзляк , Полонский, Рабинович Вентана-Граф . Деление классической математики в 7 -м классе на курс алгебры и геометрии подразумевает использование специальных методик для изучения этих дисциплин в средней . .
В сборнике «ГДЗ по Алгебра 7 класс Дидактические материалы Мерзляк », как и в самом учебном пособии, две части . Задания из первой части (разделенной на три варианта) представляют собой тренировочные и самостоятельные задачи .
Решебник (ГДЗ ) по Алгебре за 7 (седьмой) класс дидактические материалы авторы: Мерзляк, Полонский, Рабинович, Якир издательство Вентана-граф, 2019 год . Тип: Дидактические материалы . С начала 7 класса математика в школе разделяется на две отдельные дисциплины . .
ГДЗ по алгебре за 7 класс к дидактическому материалу Мерзляка . Все родители хотят, чтоб их дети хорошо учились и получали высокие оценки . Сейчас нет необходимости в услугах частного репетитора, ведь можно воспользоваться главой, где собраны гдз по алгебре 7 класс . .
ГДЗ – помощник в учебе . Алгебра – новый предмет для 7 класса, поэтому не все ученики понимают его сразу же . Понять дисциплину и не упустить время поможет решебник к учебнику «Алгебра 7 класс Дидактические материалы Мерзляк, Полонский, Рабинович Вентана-Граф» .
авторы: Мерзляк А .Г ., Полонский В .Б ., Рабинович Е .М ., Якир М .С . ГДЗ по алгебре 7 класс дидактические материалы Мерзляк помогает школьникам справляться с практическими заданиями по предмету . Математика – точная наука, имеющая множество нюансов .
ГДЗ к дидактическому материалу по алгебре 7 класс Мерзляка . Если у семиклассника вдруг появились трудности с изучением математики, ему может здорово помочь ГДЗ по алгебре 7 класс Мерзляк к дидактическим материалам .
Тут отличные гдз по алгебре дидактические материалы для 7 класса, Мерзляк А .Г ., Полонский В .Б ., Рабинович Е .М ., Якир М .С . от Путина . В этом случае обратитесь на наш портал с ГДЗ к дидактическим материалам по алгебре для 7 класса (авторы: Мерзляк А . Г ., Полонский В . Б . .
ГДЗ 7 класс Алгебра Мерзляк , Полонский, Якир - Дидактические материалы . Ответы и решебник к учебнику . Мерзляк , Полонский, Якир - Дидактические материалы . Вентана-Граф, 2019 .
Детализированные ответы в ГДЗ по алгебре 7 класс Мерзляк дают полное понимание алгоритма решений . Дидактические материалы 7 класс" Мерзляк поможет не только хорошо подготовиться к проверочным работам, но и лучше усвоить необходимые познания .
Алгебра 7 Контрольные Мерзляк + РЕШЕНИЯ и ОТВЕТЫ . Контрольные работы и задачи из пособия для учащихся «Дидактические материалы по алгебре 7 класс ФГОС» (авт . А .Г . Мерзляк, В .Б . Полонский, Е .М .Рабинович, изд-во «Вентана-Граф»), которое используется в . .
Вы здесь: Главная сайта ГДЗ Алгебра 7 класс Мерзляк , Полонский дидактические материалы 7 класс алгебра 2019 . Читать онлайн или скачать дидактические материалы по алгебре для 7 класса Мерзляк 2019 года
ОТВЕТЫ: АЛГЕБРА Контрольные работы 7 класс . Решения вопросов и задач из пособия для учащихся «Дидактические материалы по алгебре 7 класс ФГОС» (авт . А .Г . Мерзляк, В .Б . Полонский, Е .М .Рабинович, изд-во «Вентана-Граф» . .
А .Г .Мерзляк »Алгебра 7 класс» . Методический комплект:Алгебра 7 .Самостоятельные и контрольные работы . Контрольно-измерительные материалы Алгебра : 7 класс: дидактические материалы: пособие для учащихся общеобразовательных учреждений / А .Г . .
Используется в комплекте с учебником «Алгебра , 7 класс» (авт . А .Г . Мерзляк, В .М . Поляков), входит в систему «Алгоритм успеха» . 7 класс . Самостоятельные и контрольные работы - Мерзляк А .Г . и др . cкачать в PDF . Пособие содержит упражнения для самостоятельных и . .
Мерзляк А .Г . Алгебра : дидактические материалы : 7 класс : пособие для учащихся общеобразовательных организаций / A .Г . Мерзляк , В .Б . Полонский, Е .М . Рабинович, М .С . Якир . — М ., 2019 . — 112 с . Дидактические материалы содержат упражнения для самостоятельных и . .
упражнения и контрольные работы по алгебре 7 класс . Просмотр содержимого документа Дидактические материалы по алгебре А .Г .Мерзляк (ФГОС) 7 класс .
Наш решебник с готовыми домашними заданиями ГДЗ поможет детям, даже не имеющим математических наклонностей в получении положительных оценок по предмету . Самопроверка станет залогом хорошей успеваемости в школе .
ГДЗ Алгебра 7 клас Мерзляк . Авторы:Мерзляк А .Г ., Полонський В .Б . Издательство:Гімназія, Харьков . Год издания:2020 . Ответы к учебнику Алгебра 7 класс Мерзляк, Полонский 2020 - решебник по новой программе .



















