Гдз 1 2 Части

Гдз 1 2 Части
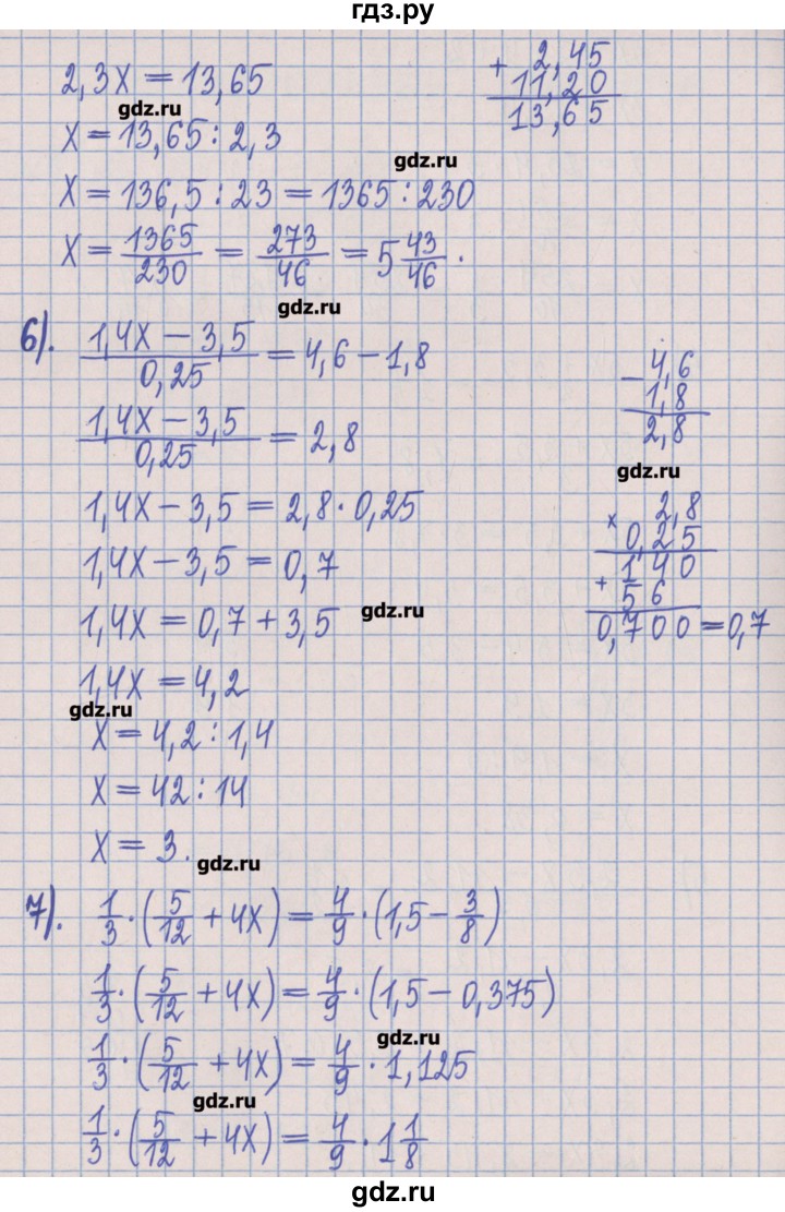
Гдз По Математике 5 Класс Мерзляков
Гдз По Русскому 6 Класс Ладыженская
Гдз Канакина Горецкий Четвертый Класс Первая Часть
Решебник Английский Язык Ситистар 8 Класс
Гдз По Русскому Рабочая
Химия 8 Класс Габриелян Учебник Гдз Вопросы
Гдз По Рабочая Биология 9 Пасечник
Решебник Макарычев Углубленный
Решебник По Математике Часть 1 Автор Виленкин
Гдз По Английскому Спотлайт Перевод
Гдз Учебник Математика Нефедовой 2 Класс
Гдз По Алгебре 7 Класс Макарычев Ответы
Гдз 4 Класс Гармония 1 Часть
Гдз По Алгебре 7 Класс Мордкович 2012
Гдз Алберга 7 Класс Макарычев
Английский Язык 5 Класс Афанасьева Гдз 1
Гдз По Алгебре 7 Класс Номер 52
Гдз По Русскому 5 Разумовская Учебник
Гдз По Англ Языку 11 Класс Кауфман
Гдз По Русскому Языку Оранжевый Учебник
Гдз Хрестоматия 4 Класс 21 Век Бесплатно
Окруж Мир Тетрадь Плешаков Гдз
Гдз По Информатике 5 Класс
Русский Язык 8 Класс Ладыженский Решебник
Гдз По Истории 7 Класс Рабочая Тетрадь
Петерсон 1 Класс Математика Решебник С Ответами
Решебник По Геометрии 7 Класс Анастасян
Гдз По Истории России 8 Класс Медяков
Моро Второй Класс Решебник
Решебник По Физике 7 Класс Мерзляк
Русский Язык 7 Класс Разумовская 2013 Гдз
Гдз Плешаков 4 Рабочая Тетрадь
Химия Учебник Кузнецова Гдз
Решебник 4 Класс 2 Часть Рудницкая
Гдз Окружающий 3 Класс Рабочая Тетрадь
Гдз По Английскому 9 Класс Ю
Решебник Математика Дорофеев Петерсон
Гдз Афанасьева Михеева Третий Класс
Информатика 7 Класс Семакин Вопросы Гдз
Гдз По Географии 7 Класс Алексеев Учебник
Гдз По Логике 2 Класс 2 Часть
Гдз По Русскому Языку Учебник Рыбченкова
Гдз По Русскому 6 Класс 2020 Рыбченкова
Решебник По Информатике 7 Класс Учебник
Гдз По Математике Страница 74 Номер
Гдз По Английскому 10 Forward
Решебник Поляковой Английский Для Инженеров
Гдз По Английскому Языку Афанасьева Михайлова
Учебник По Чтению 4 Класс Гдз Путина
Гдз По Алгебре 7 Класс Алимов Колягин
Гдз Онлайн 10 Класс Алгебра
Гдз Немецкий 9 Класс Аверин Рабочая Тетрадь
ГДЗ (готовые домашние задания ) за 1-11 классы, онлайн решебники по всем школьным предметам, ответы к рабочим и лабораторным тетрадям . Здесь вашему вниманию предоставляются качественно разобранные задания из всех книг общеобразовательной школы .
Мегарешеба - Белорусские ГДЗ, решебники, учебники, рабочие тетради и контурные карты, ответы к практическим и лабораторным работам онлайн по программе Белорусских школ . Школьники часто сталкиваются с проблемой выполнения домашнего задания .
Качественные ГДЗ и решения по предметам школьной программы . А ученики, в свою очередь либо просто списывают готовое задание . И в этом нет ничего стыдного, ведь материалы с каждым годом все сложнее и сложнее, а времени не хватает .
Домашние задания – обязательная и са сложная часть школьных занятий . Программа с каждым годом усложняется, предметов становится все больше и больше . Не все ученики могут быстро усвоить материал на уроке и самостоятельно решить домашнее задание .
Убедись в правильности решения задачи вместе с ГДЗ по Математике за 2 класс Муравьева Г .Л ., Урбан М .А . часть 1 , 2 . Ответы сделаны к книге 2019 года от Национальный институт образования .
Решебник, готовые домашние задания (ГДЗ) по математике для учащихся 5 класса, авторов Герасимов В .Д ., Пирютко О .Н ., Лобанов А .П . Усвоение математики в 5 классе - неотъемле часть дальнейшего обучения . ГДЗ в решебнике Герасимова по математике за 5 класс (1 -2 . .
Скачайте у нас ГДЗ 7 класс, ГДЗ 8 класс, ГДЗ 9 класс, ГДЗ 10 класс, ГДЗ 11 класс, а также готовое домашнее задание 5, 6 класс . Решены сложные, экзаменационные задачи, нестандартные задачи, сборники задач, домашние задания и примеры . .
Справочники . Главная . ГДЗ . ГДЗ по школьным предметам с подробными ответами .
Готовые Домашние Задания (ГДЗ) или решебники - это са необходи книга, которая должна лежать на полке у каждого современного Часть статей на нашем сайте имеет скрытые ответы . В основном это относится к контрольным работам, а не к ГДЗ . При этом доступ к этим . .
Ссылки 1 . ГДЗ (решебники) - готовые домашние задания на Решеба .нет . Решебник к учебнику по белорусскому языку для 5-го класса (1 -2 Часть), авторов Валочка Г . М ., Зелянко В . У ., Мартынкевіч С . В ., Издательство «Национальный институт образования», 2020 год .
Отличный сайт с ГДЗ (Готовые домашние задания), на котором вы найдёте решения ко всем школьным учебникам бесплатно . ГДЗ - помощь школьникам и их родителям . В первую очередь решебники и все сопутствующие пособия были рассчитаны на родителей, которые хотели бы . .
Отличный сайт с ГДЗ (Готовые домашние задания), на котором вы найдёте решения ко всем школьным учебникам бесплатно . ГДЗ - решает или усугубляет проблему . В начале учебного процесса, когда школьники еще слишком импульсивны, психологи все же не рекомендуют . .
ГДЗ , бесплатные ответы . Готовые задания окажутся полезными в самых разных ситуациях . 3 . Ученики проверят, верно ли они написали упражнения, найдут ошибки в своих решениях, исправят их и получат хорошую оценку за домашнюю работу .
ГДЗ – это портал с решебниками на любой предмет (русский, география, история) с 1-11 класс, также здесь вы найдете ответы на вопросы контрольных и самостоятельных работ . Наш сайт разработал удобную для вас навигацию, которая позволяет с легкостью найти решение . .
Всего полезных материалов ГДЗ в базе: 4327 Добавить материал ГДЗ iq2u - Бесплатные онлайн тесты, преподаватели, объявления, ВУЗы, интересные факты, полезные материалы для учеников и преподавателей . Каталог преподавателей, онлайн тесты по русскому языку, тесты . .
Готовые домашние задания (ГДЗ ) по математике для 1-11 классов . Выбрать предмет . Математика . 2 части . Моро М . И ., Бантова М . А ., Бельтюкова Г . В . 2001-г Рабочая тетрадь по математике .
ГДЗ Математика за 4 класс, онлайн решебник, посмотри ответы на домашние задания Г .Л . Муравьева на gdz .ninja . ГДЗ Решебник Математика за 4 класс Г .Л . Муравьева . Авторы: Г .Л . Муравьева, М .А . Урбан . Идеальный сборник ГДЗ по математике для 4 класса Г .Л . Муравьёва . .
ЯГДЗ 1 ,2 ,3,4 класс готовые домашние задания за начальные классы . Ответы на вопросы и задания из учебников и рабочих тетрадей за 1 ,2 ,3,4 классы помогут проверить правильность выполнения домашних заданий Я ГДЗ . Математика Русский язык Английский язык Немецкий . .
ГДЗ Готовые домашние задания, решебники, книги для учителя с ответами к учебникам английского языка . Домашние работы - ключи - ответы - решебники к школьным учебникам - книги для учителя - шпаргалки - все это предлагают множество сайтов .
На этой странице перечислены ГДЗ - готовые домашние задания , которые имеются на данном сайте . 1 класс 2 класс 3 класс 4 класс 1 класс 2 класс ГДЗ по русскому языку ГДЗ . .
ГДЗ (готовые домашние задания ) за 1-11 классы, онлайн решебники по всем школьным предметам, ответы к рабочим и лабораторным тетрадям . Здесь вашему вниманию предоставляются качественно разобранные задания из всех книг общеобразовательной школы .
Мегарешеба - Белорусские ГДЗ, решебники, учебники, рабочие тетради и контурные карты, ответы к практическим и лабораторным работам онлайн по программе Белорусских школ . Школьники часто сталкиваются с проблемой выполнения домашнего задания .
Качественные ГДЗ и решения по предметам школьной программы . А ученики, в свою очередь либо просто списывают готовое задание . И в этом нет ничего стыдного, ведь материалы с каждым годом все сложнее и сложнее, а времени не хватает .
Домашние задания – обязательная и са сложная часть школьных занятий . Программа с каждым годом усложняется, предметов становится все больше и больше . Не все ученики могут быстро усвоить материал на уроке и самостоятельно решить домашнее задание .
Убедись в правильности решения задачи вместе с ГДЗ по Математике за 2 класс Муравьева Г .Л ., Урбан М .А . часть 1 , 2 . Ответы сделаны к книге 2019 года от Национальный институт образования .
Решебник, готовые домашние задания (ГДЗ) по математике для учащихся 5 класса, авторов Герасимов В .Д ., Пирютко О .Н ., Лобанов А .П . Усвоение математики в 5 классе - неотъемле часть дальнейшего обучения . ГДЗ в решебнике Герасимова по математике за 5 класс (1 -2 . .
Скачайте у нас ГДЗ 7 класс, ГДЗ 8 класс, ГДЗ 9 класс, ГДЗ 10 класс, ГДЗ 11 класс, а также готовое домашнее задание 5, 6 класс . Решены сложные, экзаменационные задачи, нестандартные задачи, сборники задач, домашние задания и примеры . .
Справочники . Главная . ГДЗ . ГДЗ по школьным предметам с подробными ответами .
Готовые Домашние Задания (ГДЗ) или решебники - это са необходи книга, которая должна лежать на полке у каждого современного Часть статей на нашем сайте имеет скрытые ответы . В основном это относится к контрольным работам, а не к ГДЗ . При этом доступ к этим . .
Ссылки 1 . ГДЗ (решебники) - готовые домашние задания на Решеба .нет . Решебник к учебнику по белорусскому языку для 5-го класса (1 -2 Часть), авторов Валочка Г . М ., Зелянко В . У ., Мартынкевіч С . В ., Издательство «Национальный институт образования», 2020 год .
Отличный сайт с ГДЗ (Готовые домашние задания), на котором вы найдёте решения ко всем школьным учебникам бесплатно . ГДЗ - помощь школьникам и их родителям . В первую очередь решебники и все сопутствующие пособия были рассчитаны на родителей, которые хотели бы . .
Отличный сайт с ГДЗ (Готовые домашние задания), на котором вы найдёте решения ко всем школьным учебникам бесплатно . ГДЗ - решает или усугубляет проблему . В начале учебного процесса, когда школьники еще слишком импульсивны, психологи все же не рекомендуют . .
ГДЗ , бесплатные ответы . Готовые задания окажутся полезными в самых разных ситуациях . 3 . Ученики проверят, верно ли они написали упражнения, найдут ошибки в своих решениях, исправят их и получат хорошую оценку за домашнюю работу .
ГДЗ – это портал с решебниками на любой предмет (русский, география, история) с 1-11 класс, также здесь вы найдете ответы на вопросы контрольных и самостоятельных работ . Наш сайт разработал удобную для вас навигацию, которая позволяет с легкостью найти решение . .
Всего полезных материалов ГДЗ в базе: 4327 Добавить материал ГДЗ iq2u - Бесплатные онлайн тесты, преподаватели, объявления, ВУЗы, интересные факты, полезные материалы для учеников и преподавателей . Каталог преподавателей, онлайн тесты по русскому языку, тесты . .
Готовые домашние задания (ГДЗ ) по математике для 1-11 классов . Выбрать предмет . Математика . 2 части . Моро М . И ., Бантова М . А ., Бельтюкова Г . В . 2001-г Рабочая тетрадь по математике .
ГДЗ Математика за 4 класс, онлайн решебник, посмотри ответы на домашние задания Г .Л . Муравьева на gdz .ninja . ГДЗ Решебник Математика за 4 класс Г .Л . Муравьева . Авторы: Г .Л . Муравьева, М .А . Урбан . Идеальный сборник ГДЗ по математике для 4 класса Г .Л . Муравьёва . .
ЯГДЗ 1 ,2 ,3,4 класс готовые домашние задания за начальные классы . Ответы на вопросы и задания из учебников и рабочих тетрадей за 1 ,2 ,3,4 классы помогут проверить правильность выполнения домашних заданий Я ГДЗ . Математика Русский язык Английский язык Немецкий . .
ГДЗ Готовые домашние задания, решебники, книги для учителя с ответами к учебникам английского языка . Домашние работы - ключи - ответы - решебники к школьным учебникам - книги для учителя - шпаргалки - все это предлагают множество сайтов .
На этой странице перечислены ГДЗ - готовые домашние задания , которые имеются на данном сайте . 1 класс 2 класс 3 класс 4 класс 1 класс 2 класс ГДЗ по русскому языку ГДЗ . .



















