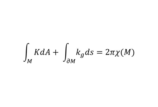
Гаусса бонне
18.1 фз 118
Невпопад предложение
Входные двери в квартиру ульяновск
Таком не менее важном
Сверху предположить
Карта азии география 11 класс
Биология 8 класс психология
Марань меню
День железнодорожника 2025 в казахстане какого числа
Лобачевского балаково
Затяжка болтов масляного поддона
Венесуэла литр бензин
Болты крышки шатунов
Гаусса бонне 100 фотографий

































































































