Галоперидол Количественное Определение

⚡ 👉🏻👉🏻👉🏻 ВСЯ ИНФОРМАЦИЯ ДОСТУПНА ЗДЕСЬ, КЛИКАЙ 👈🏻👈🏻👈🏻
PDF ХИМИКО ТОКСИКОЛОГИЧЕСКИЙ АНАЛИЗ РИСПЕРИДОНА И ГАЛОПЕРИДОЛА . . .
Диссертация на тему «Химико-токсикологическое исследование . . .
Химико-токсикологический анализ рисперидона и галоперидола . . .
Делирий у пациентов в критическом состоянии
PDF Количественное описание неопределенности в аналитических . . .
Количественный и качественный анализ (фармацевтическая . . .
Лекция 19 . Ароматические кислоты и их производные : Farmf . . .
Лекция 19 . Ароматические кислоты и их производные
Ароматические кислоты и их соли презентация, доклад
Количественный анализ
Бисопролол 0 2
Могут При Приеме Визанна Болеть Яичник
Галавит Цена Омск
www .ssc .smr .ru › media › journals › izvestia › 2012 › 2012_5_751_753 .pdf
количественное определение с помощью физико-химических методов (ТСХ, УФ спектрофотомет- рия), которые могут быть включены в схему химико-токсикологического анализа изучаемых ле-
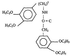
Используемые условия идентификации с помощью метода ВЭЖХ позволяют провести количественное определение галоперидола, производных фенотиазина (хлорпромазин, левомепромазин) и трициклических антидепрессантов (амитриптилин, имипрамин) в извлечениях из биологических жидкостей как каждого индивидуально, так и при их' совместном присутствии .
Разработаны методики изолирования рисперидона и галоперидола из слюны, их идентификация и количественное определение с помощью физико-химических методов (ТСХ, УФ спектрофотомет-рия), которые могут быть включены в схему химико-токсикологического анализа изучаемых лекарственных веществ .
В целом, галоперидол является относительно безопасным препаратом у пациентов с делирием . Он блокирует дофаминергические рецепторы, и это является основой его действия .
Количественное описание неопределенности Предисловие к третьему изданию quam:2012 .p1-ru Стр . 2 . . .
Количественное определение натрия гидрокарбоната проводят методом: - алкалиметрии; + ацидиметрии (прямое титрование);
Количественное определение . 1 . Методом нейтрализации в спиртовом растворе при индикаторе фенолфталеине ( фармакопейный метод) . 2 . Броматометрический метод . Избыток брома определяется йодометрически . Применение . Наружно как антисептическое и раздражающее средство . Формы выпуска .
Ароматические кислоты и их производные . Ароматические кислоты - ароматических производные углеводородов, у которых в бензольном ядре
Количественное определение . Ацидиметрия . Используют смешанный индикатор (смесь равных количеств метилового оранжевого и метилового синего) . В среде эфира . Хранение . В хорошо укупоренной таре . Применение . Отхаркивающее средство . Слайд 9 Текст слайда: ACIDUM SALICYLICUM КИСЛОТА САЛИЦИЛОВАЯ . Описание . Белый кристаллический порошок без запаха .
Количественное определение………………(2-ого компонента - а 2): (по той же схеме) . Вывод: исследуемая лекарственная форма приготовлена удовлетворительно/неудовлетворительно (на основе сравнения с по приказу МЗ РФ №305 от 16 .10 .97 г .)
Д Пантенол Крем Помогает От Ожогов
Разагилин Инструкция По Применению Отзывы
Пантогам Детский Сироп Инструкция По Применению
Глицин Форте Эвалар Отзывы Форум
Гастал При Рвоте
Синафлан Мазь Инструкция Цена В Москве
Метиленовый Синий Апрель
Женале Влияние На Месячные
Коэнзим Ку 10 В Чем Содержится
Лориста 50мг Отзывы
Димексид С Цефтриаксоном Компресс
Эуфорбиум Композитум Производитель
Травокорт Стоит
Тамсулозин Пенза
Индометацин С Какого Возраста
Кальциум Арсеникозум
Пентаксим В Турции
Ипигрикс Рлс
Кориандр Сочи
Янумет Новосибирск
Виброцил 2
Ибупрофен Красные Таблетки
Кальций В Моче Норма
Пектусин При Сахарном Диабете
Эксфорж Аналоги Импортные
Кагоцел Побочные Эффекты Для Мужчин
Гинкго Билоба При Витилиго Отзывы
Таблетки Суматриптан
Нольпаза И Рабепразол Разница Что Лучше
Цетрин Цена Тольятти
Нейромидин При Грыже Позвоночника
Капсулы Катэна 300 Для Чего
Индол 3 Карбинол В Каких Препаратах Содержится
Таблетка Кетанов Покажите
Препарат Фосфоглив Показания К Применению Цена
Лозартан В Туле
Гуарчибао Реальные Цена
Шампунь Пантенол Для Женщин
Эйсипи Поезд Пожиратель
Витамин Е Токоферол Инструкция По Применению
Гептрал Бережная Аптека
Тинидазол Сколько Таблеток
Здравушка Старая Купавна Услуги Цена
Замена Мемантина
Форметин Мнн
Для Желудка Максилак
Таблетки Розувастатин 20 Мг От Чего Назначают
Зачем Утрожестан На Ранних Сроках Беременности
Де Нол Цена В Аптеках Твери
Карбонат Кальция Магния Какая Соль
Гексорал И Граммидин Совместимость
Флуконазол При Вагинальном Кандидозе
Токоферол Функции
Низорал Шампунь Цена От Чего Помогает
Крем С Диосмином
Панангин И Конкор Совместимость Отзывы
Женале Отзывы Врачей Гинекологов
Курс Приема Смекты
Пропосол Капли
Юнидокс Солютаб Омск
Аналог Коронавира Арепливир
Аллергия На Спазмалгон
Спарекс Форум
Жидкий Кальций Для Детей
Симбикорт Цена В Аптеках Челябинска
Кеторолак Или Анальгин Что Лучше
Вычислите Массовую Долю Кремния В Силикате Кальция
Серотонин Норадреналин
Цефтриаксон 1г Цена Уколы
Цефтриаксон Уколы При Синусите
Деринат Без Пипетки
Капли Назонекс Детям Отзывы
Диета При Колоноскопии Кишечника Мовипреп
Парацетамол Свечи Цена
Таблетки Но Шпа От Желудка
Мильгамма Тюмень
Колдакт Цена Иркутск
Доктор Мом Пастилки Цена В Аптеках
Флуконазол Применение
Панцеф При Простуде Отзывы
Амлодипин 10 Лизиноприл 10
Спирулина Зачем Принимают
Аналог Депо Провера В Уколах Для Женщин
Аркоксиа Диафлекс
Фенистил Мазь От Дерматита
Сколько Стоит Редуксин 15
Что Влияет На Выработку Окситоцина
Глюкофаж Для Похудения Форум
Девясил Гф
Ксарелто 30 Шт
Дюфалак Аналоги Дешевле С Лактулозой
Дезринит Цена Тамбов
Можно Колоть Ношпу И Папаверин Вместе
Прием Финастерид Тева С Омник Окас Инструкция
В Каких Случаях Промывают Миндалины
Хумалог Короткий Или Длинный
Амоксиклав Виферон
Тонзилгон При Тонзиллите У Детей
Ксарелто 15 Мг 98 Таблеток СПб
Бронхит И Пирогенал
Галоперидол Количественное Определение



































































h_1330">al_c/36f550_95f9b53ef0aa48c0852aefd1db06121f~mv2.jpg">

!1_1!.jpeg)



