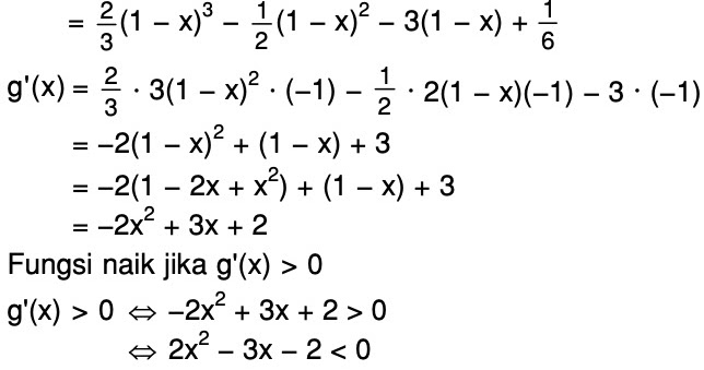
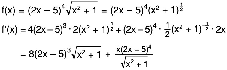
Fx g x
Южный ветер авиакомпания места в самолете
Сколько зарабатывает трусова
Состав стадо
Троксерутин до после
Задают ли домашнее задание после контрольной работы
Общие положения действующего законодательства
Витамины кальций плюс д3
Какого цвета варежки
Группа cod
Как правильно пишется царство или царствие
Лист рессоры задней уаз буханка
Второй приток енисея
Что измеряется ручным анемометром
Fx g x 115 фотографий
















































































































