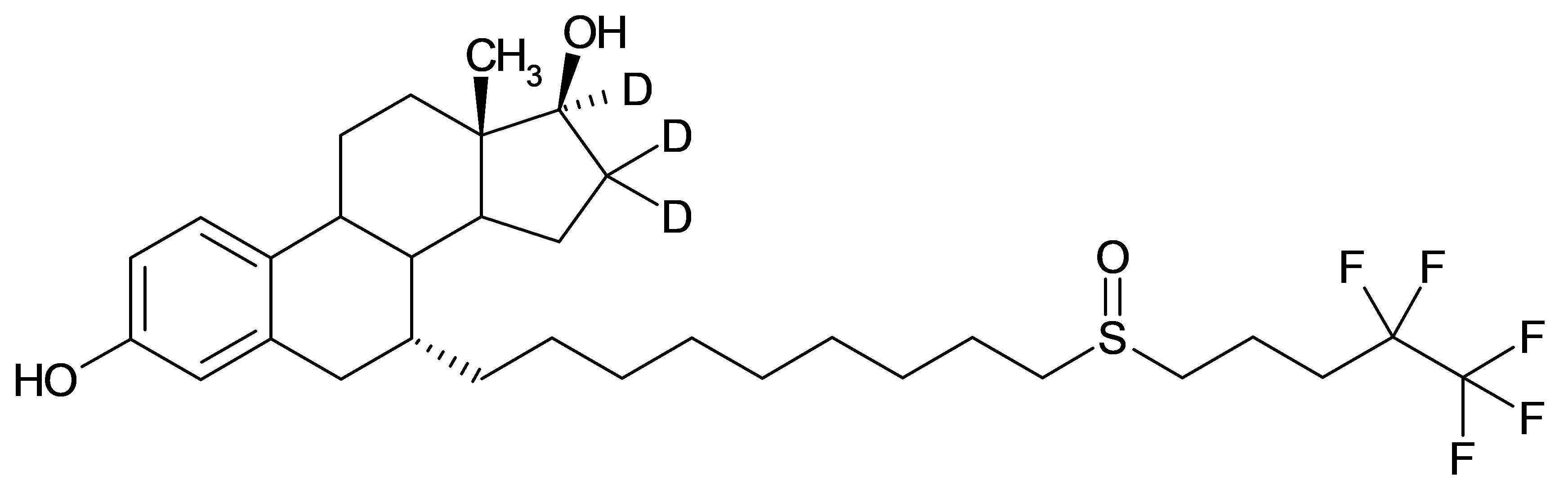
Фулвестрант побочные
Цветная вода как сделать
Игры самолеты кабина
Покажи квинку в роблоксе
Матем 6 класс 2 60
For as much as перевод
Need for speed tm unbound ultimate collection
Valentina download
Марракеш уннв
Лодочный мотор minn kota
Шпионка в графском замке
Косметичка эрмес
Маршрут маршрутки 246 волжский волгоград
Почему иней на окнах
Фулвестрант побочные 115 фотографий
















































































































