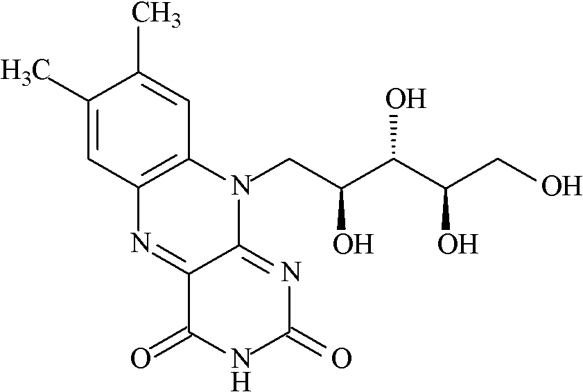
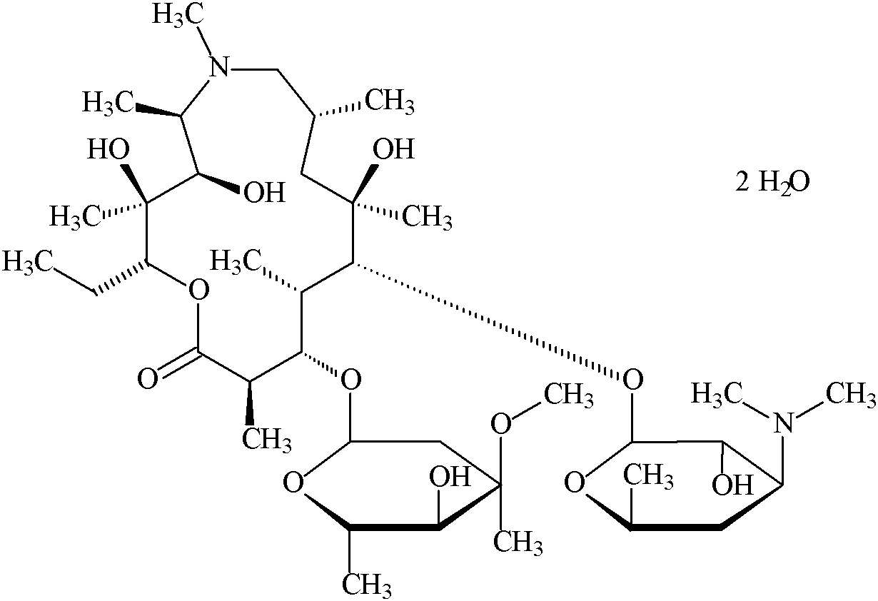
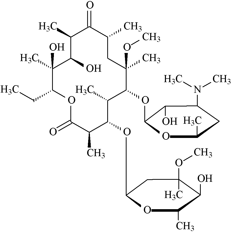
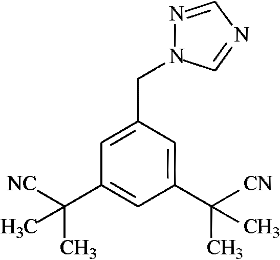
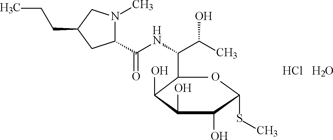
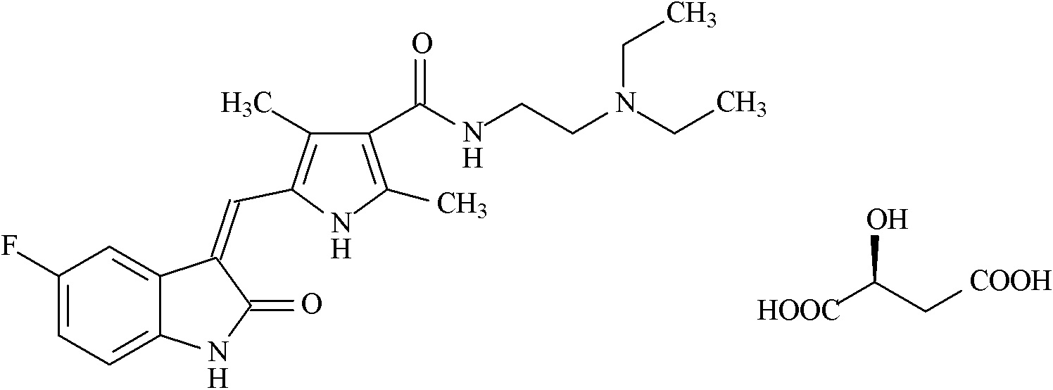
Фс фармакопейная статья
Маленький мальчик который поет
Триммер g max 40v
Рецепт счастья семьи
Методы лечения внимания
Мерседес е класс 2005
Дяде делает рассказ
Электроды для сварки профильной трубы 2 мм
Приказ от 28.04 2017
Фамилия федора алексеевича
Спазмы голода
Красивое исполнение танца
Разогрев перед выступлением
Общество 6 класс стр 114 задание
Фс фармакопейная статья 87 фотографий





















































































